Предмет: Алгебра,
автор: knidzes
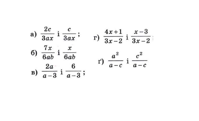
Помогите пожалуйста! Знайди суму и різницю дробів:
Приложения:
Ответы
Автор ответа:
1
Ответ:
сейчас доделаю , пиши
Объяснение:
Приложения:
knidzes:
Спасибо огромное!
Похожие вопросы
Предмет: Английский язык,
автор: Alina1503020
Предмет: Українська мова,
автор: kola98t
Предмет: Русский язык,
автор: VikGirl
Предмет: Литература,
автор: svetlanavalyavkina20
Предмет: Алгебра,
автор: chikipiki