Предмет: Алгебра,
автор: hua200218
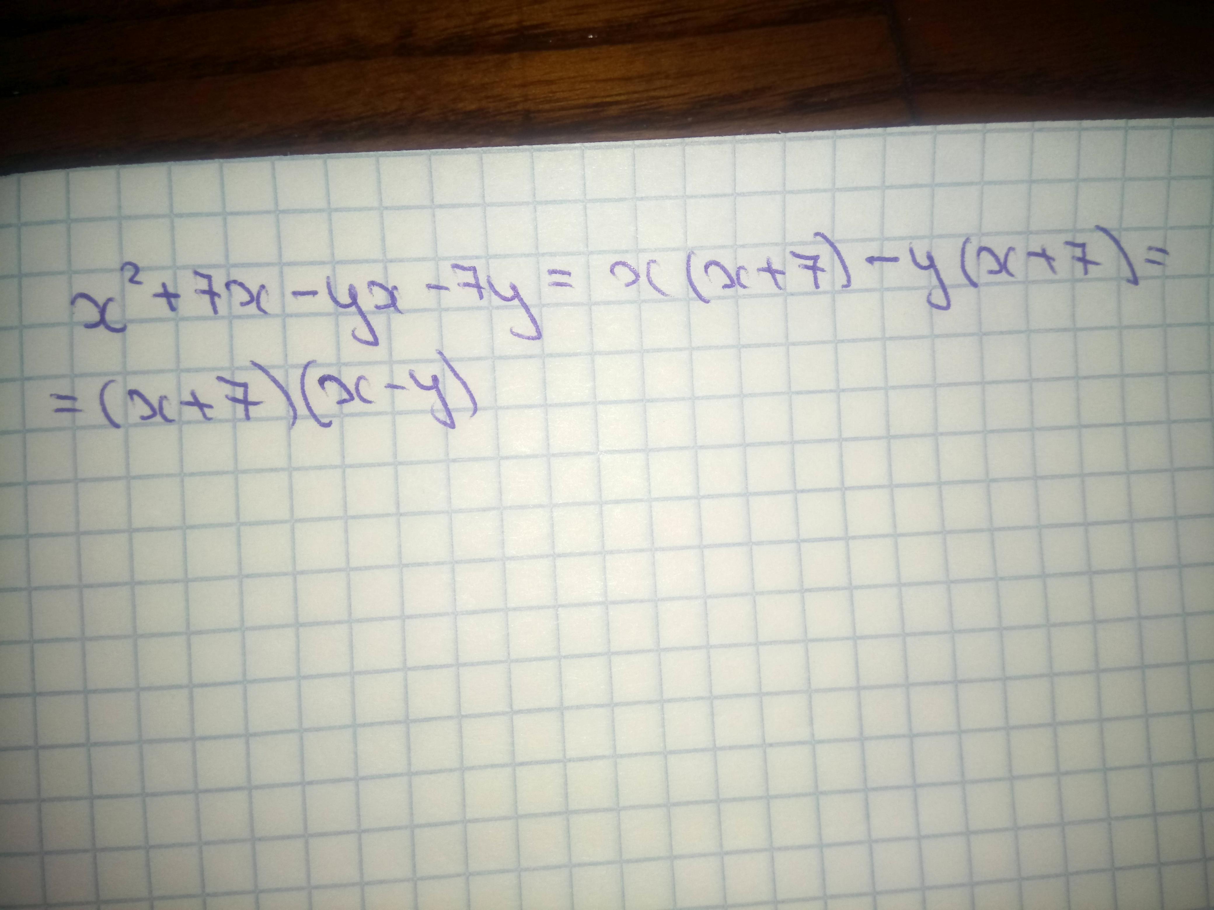
х² + 7х- ух - 7у помогите пожалуйста.Подати у вигляді добутку. Даю 30 балов.
Ответы
Автор ответа:
0
Відповідь:
Пояснення: фото
Приложения:
Похожие вопросы
Предмет: Русский язык,
автор: ЯнаLove5
Предмет: Русский язык,
автор: Аноним
Предмет: Русский язык,
автор: 35331ghh
Предмет: Русский язык,
автор: Iraida26