Предмет: Математика,
автор: elvina1267
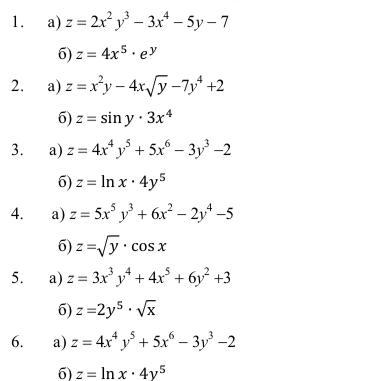
Найти частные производные функции двух переменных
Задание 3
Только 3 вариант
Приложения:
Ответы
Автор ответа:
0
Ответ:
Пошаговое объяснение:
а) z'x=16*x³*y⁵+30*x⁵, z'y=20*x⁴*y⁴-9*y²
б) z'x=4*y⁵/x, z'y=20*y⁴*ln(x).
Похожие вопросы
Предмет: Другие предметы,
автор: Лианна12
Предмет: Русский язык,
автор: Аноним
Предмет: Русский язык,
автор: Асканбеккызыаэлина
Предмет: Химия,
автор: 2549723u
Предмет: Литература,
автор: gtr58991p3bjtv