Предмет: Алгебра,
автор: raccoon0104
помогите пожалста(((
Приложения:
Ответы
Автор ответа:
1
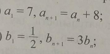
Ответ:
n1=7
n2=n1+8
n3=n2+8
n3=n3+8
Приложения:
raccoon0104:
спасибо
Похожие вопросы
Предмет: Окружающий мир,
автор: решетникспарцменка
Предмет: Русский язык,
автор: юля1631
Предмет: Русский язык,
автор: лилия378877
Предмет: Алгебра,
автор: SimoKa11