Предмет: Математика,
автор: KuklkaV4
Мне нужна помощь с решением
Можете объяснить как это решить и показать решённый пример допустим из тех же заданий ниже
Приложения:
Ответы
Автор ответа:
1
Ответ:
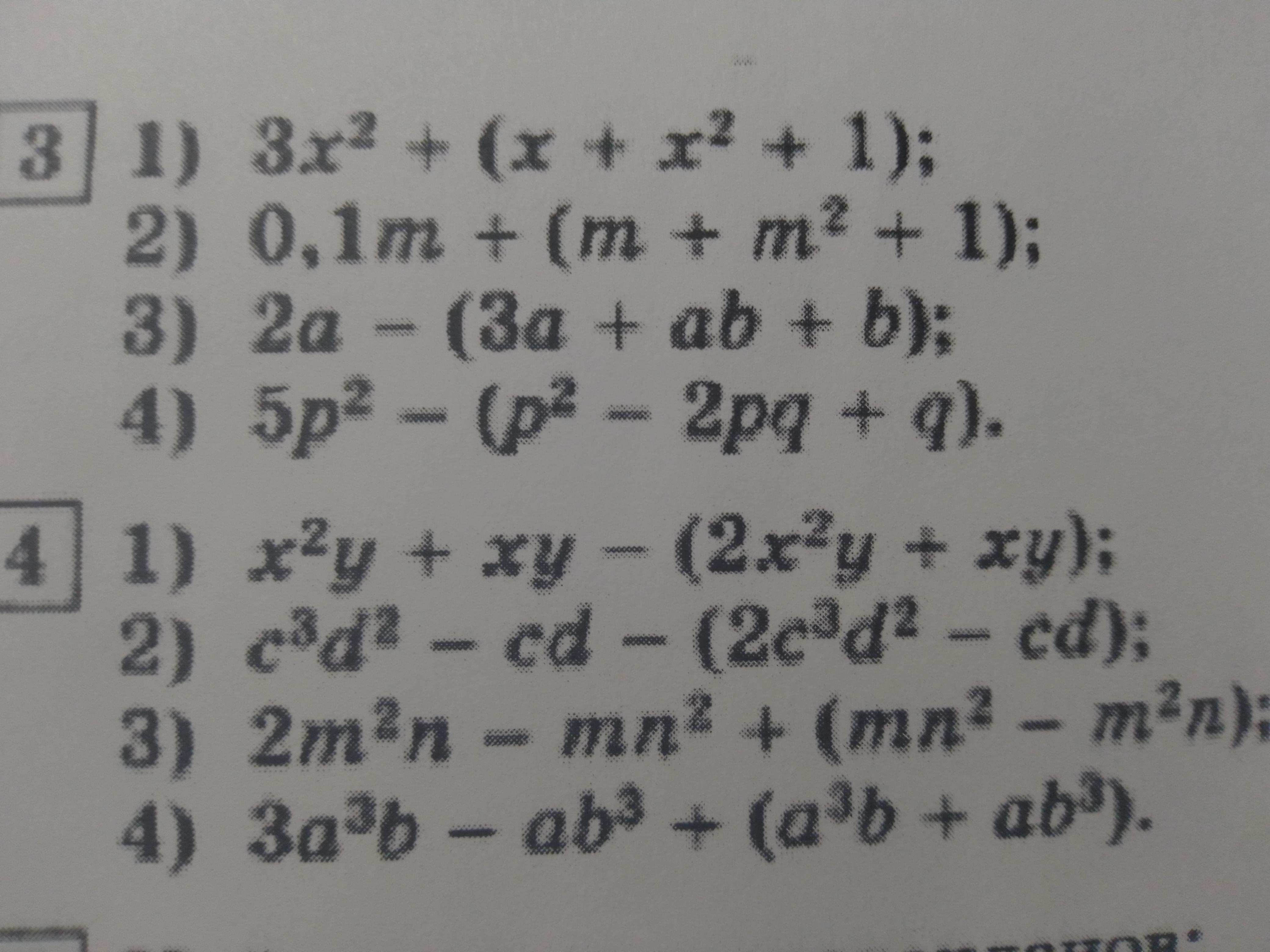
Если перед скобками стоит знак плюс(+), тогда знаки (+ или -) не будут меняться на противоположный. Остаётся только раскрыть( т.е. убрать) скобки и решить.
Если перед скобками стоит знак минус (-), тогда знаки (+ или -) поменяются на противоположные (т.е плюс станет минусом, а минус станет плюсом), а дальше раскрваем скобки с новыми знаками и решаем.
Попробуй решить сам/а, надеюсь у тебя всё получится:)
KuklkaV4:
Спасибо!
Похожие вопросы
Предмет: Английский язык,
автор: egg1205
Предмет: Русский язык,
автор: zayka37
Предмет: Русский язык,
автор: satyvaldieva20
Предмет: Алгебра,
автор: barabashka17
Предмет: История,
автор: school1838