Предмет: Алгебра,
автор: lmmaria
нужно решение полное
Приложения:
Ответы
Автор ответа:
1
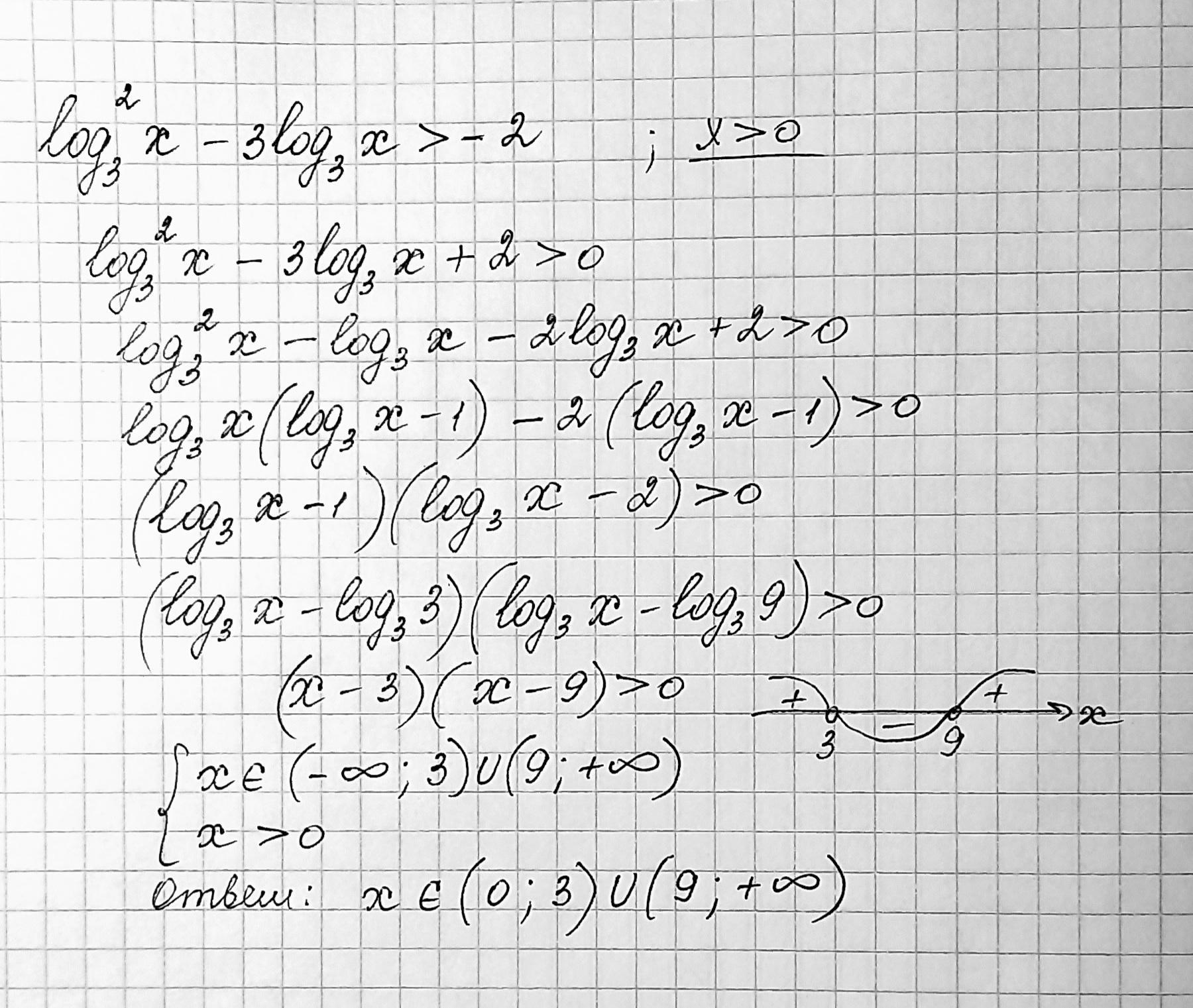
Смотри....................................
Приложения:
lmmaria:
у меня в тесте почему то нету такого ответа
Ок, минутку, проверю
в ответе почему то должно получиться так - (0; 2)∪(4; +∞)
Это было бы если бы основание логарифмы было 2, а у нас основание 3, так что успокойся решение верное
спасибо
А учителю скажи о том, что в тесте опечатка
хорошо, спасибо
Автор ответа:
2
Ответ:
Объяснение:
Решение на фото
Приложения:
Какой идеальный почерк!
Похожие вопросы
Предмет: Окружающий мир,
автор: милаша18
Предмет: Русский язык,
автор: lus2014
Предмет: Русский язык,
автор: ketty1003200
Предмет: Русский язык,
автор: robloxplayer0109
Предмет: История,
автор: ЧанХиБин