Предмет: Алгебра, автор: Dvoechnik12343

Быстрое решение!!
50 баллов
Спасибо!

Приложения:

Ответы

Автор ответа: kazybekkyzyadiya
0

Ответ:

будет вот так

Объяснение:

100% правильно

Приложения:
Автор ответа: AstoriaBlack
0

Ответы:

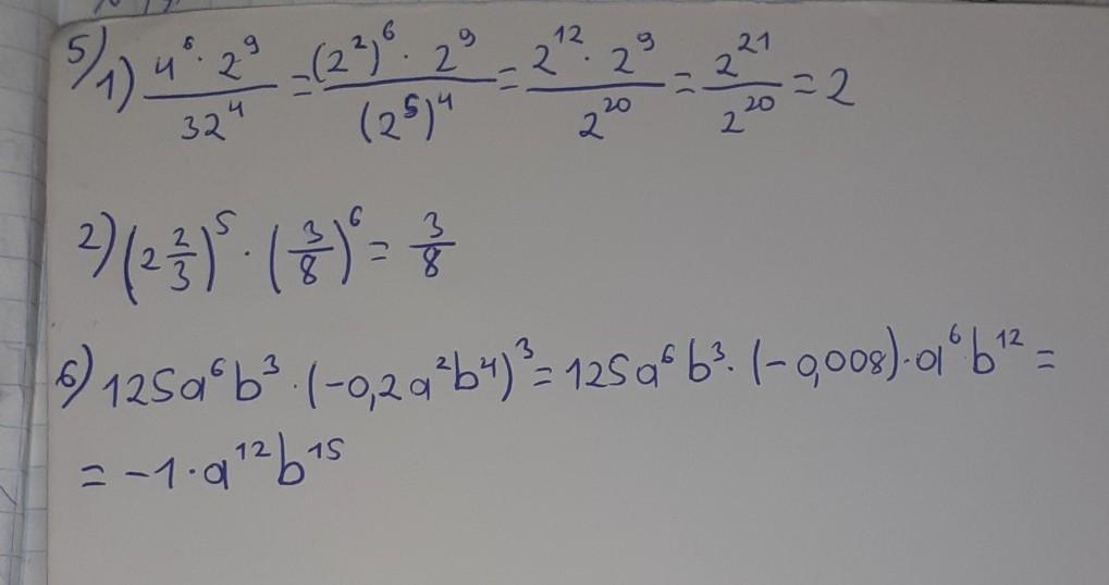
5. 1)  \frac{4^6*2^9}{32^4} = \frac{(2^2)^6*2^9}{(2^5)^4} = \frac{4^6*2^9}{32^4} = \frac{(2^2)^6*2^9}{(2^5)^4} = \frac{2^{12}*2^9}{2^{20} }  = \frac{2^{21}}{2^{20}} = 2

2) (2\frac{2}{3})^5*(\frac{3}{8})^6=(\frac{8}{3})^5*(\frac{3}{8})^6= (\frac{3}{8})^{-5}*(\frac{3}{8})^6 = \frac{3}{8}=0,375

6. 125a^6b^3*(-0,2a^2b^4)^3 = 125a^6b^3*(-0,008a^6b^{12})= -a^{12}b^{15}

Похожие вопросы
Предмет: Українська мова, автор: Аноним