Предмет: Математика,
автор: maksilucik
5*2/7*3/5
срочноооооо
Ответы
Автор ответа:
3
Пошаговое объяснение:
.......................
Приложения:
aaydan91655:
слушай, можешь пожалуйста отметить этот ответ лучшим, если я тебе смогла помочь?♡
Автор ответа:
1
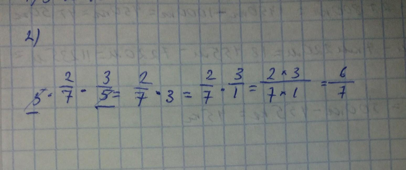
Ответ:
6/7
Пошаговое объяснение:
5*2/7*3/5=6/7
1) 5*2/7=10/7
2)10/7*3/5=6/7
Похожие вопросы
Предмет: Английский язык,
автор: майя25111981
Предмет: Русский язык,
автор: новичок287
Предмет: Русский язык,
автор: SergeiLiss
Предмет: Литература,
автор: 0Ксюша00