Предмет: Алгебра,
автор: zmeeust11156
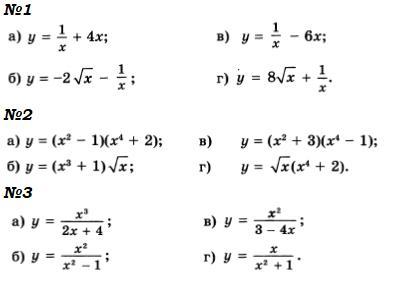
Помогите пожалуйста!
Приложения:
Ответы
Автор ответа:
1
Решения на задание номер 1, пункты а,б,в
Приложения:
Похожие вопросы
Предмет: Окружающий мир,
автор: Kira1591
Предмет: Қазақ тiлi,
автор: maksim111223
Предмет: Английский язык,
автор: кисуля54321
Предмет: Математика,
автор: ПЕЛЬМЕIIIКА