Предмет: Математика,
автор: fghnxd8
Помните решить ,прошу❤️
Приложения:
55555555552187:
какой уровень надо решать
Все(
сколько времени на решение осталось?
Часа 2
Ответы
Автор ответа:
1
Ответ:
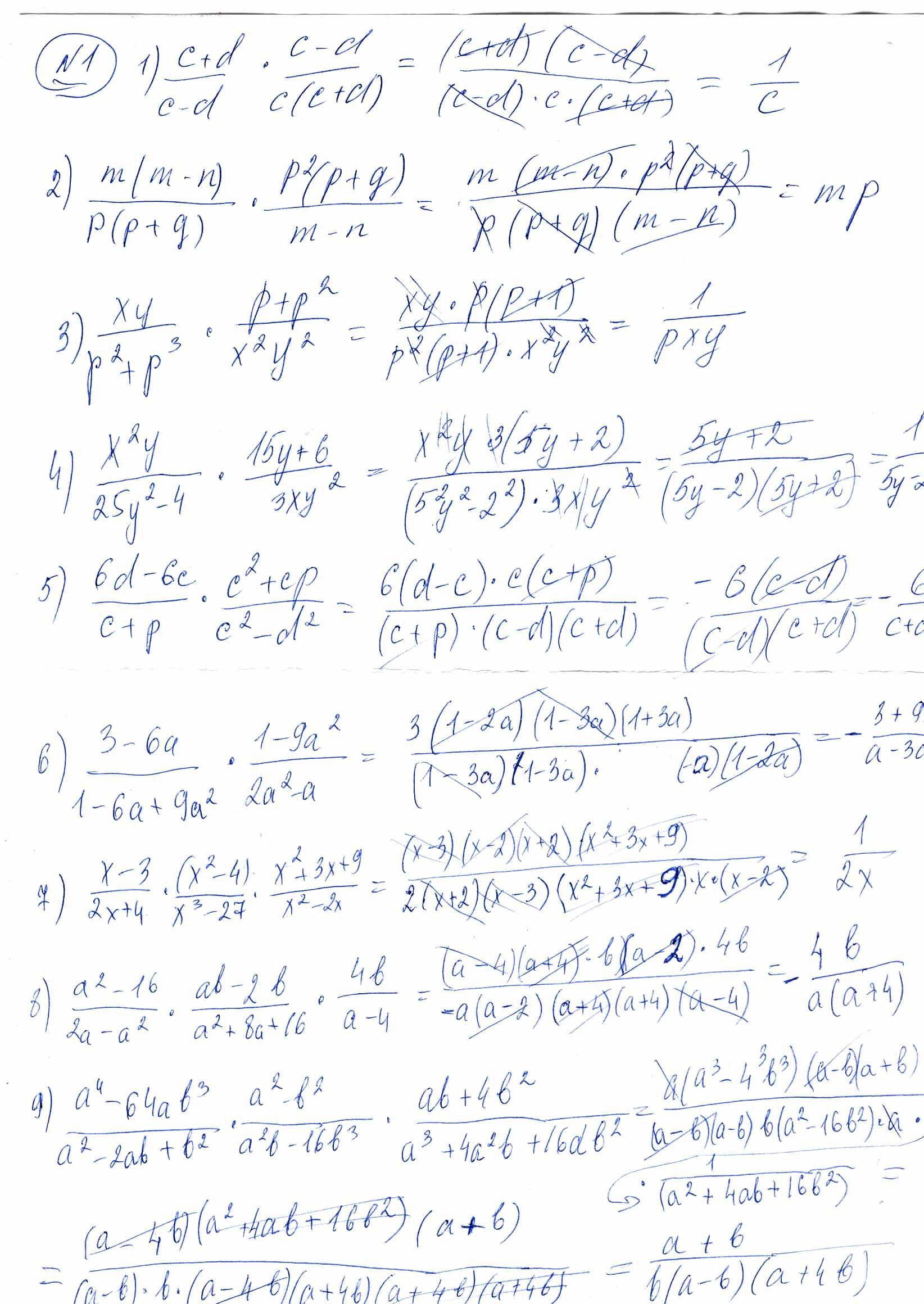
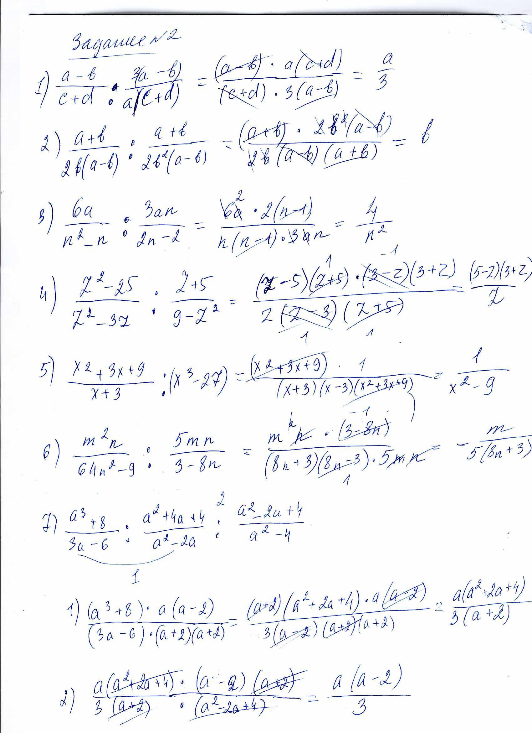
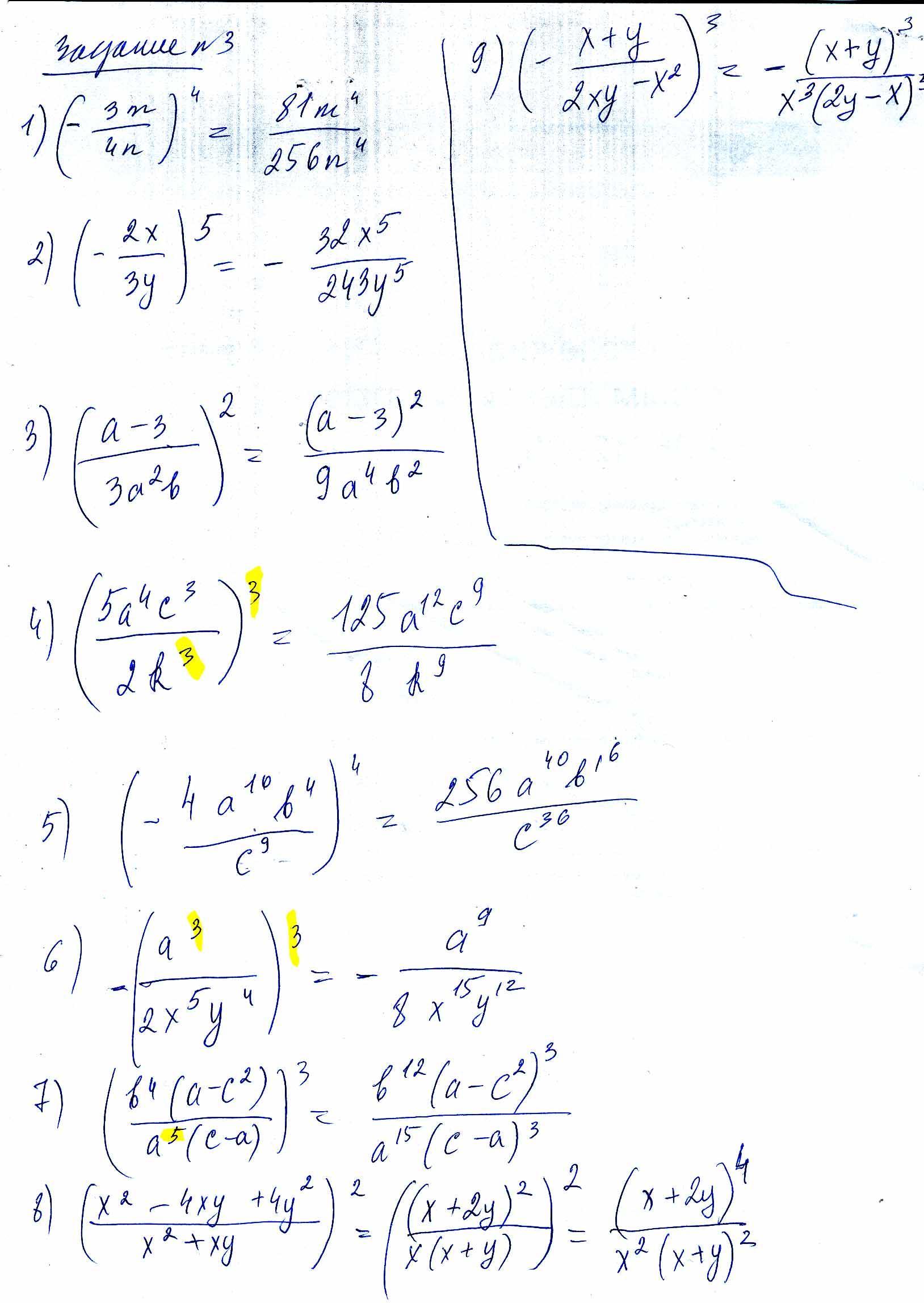
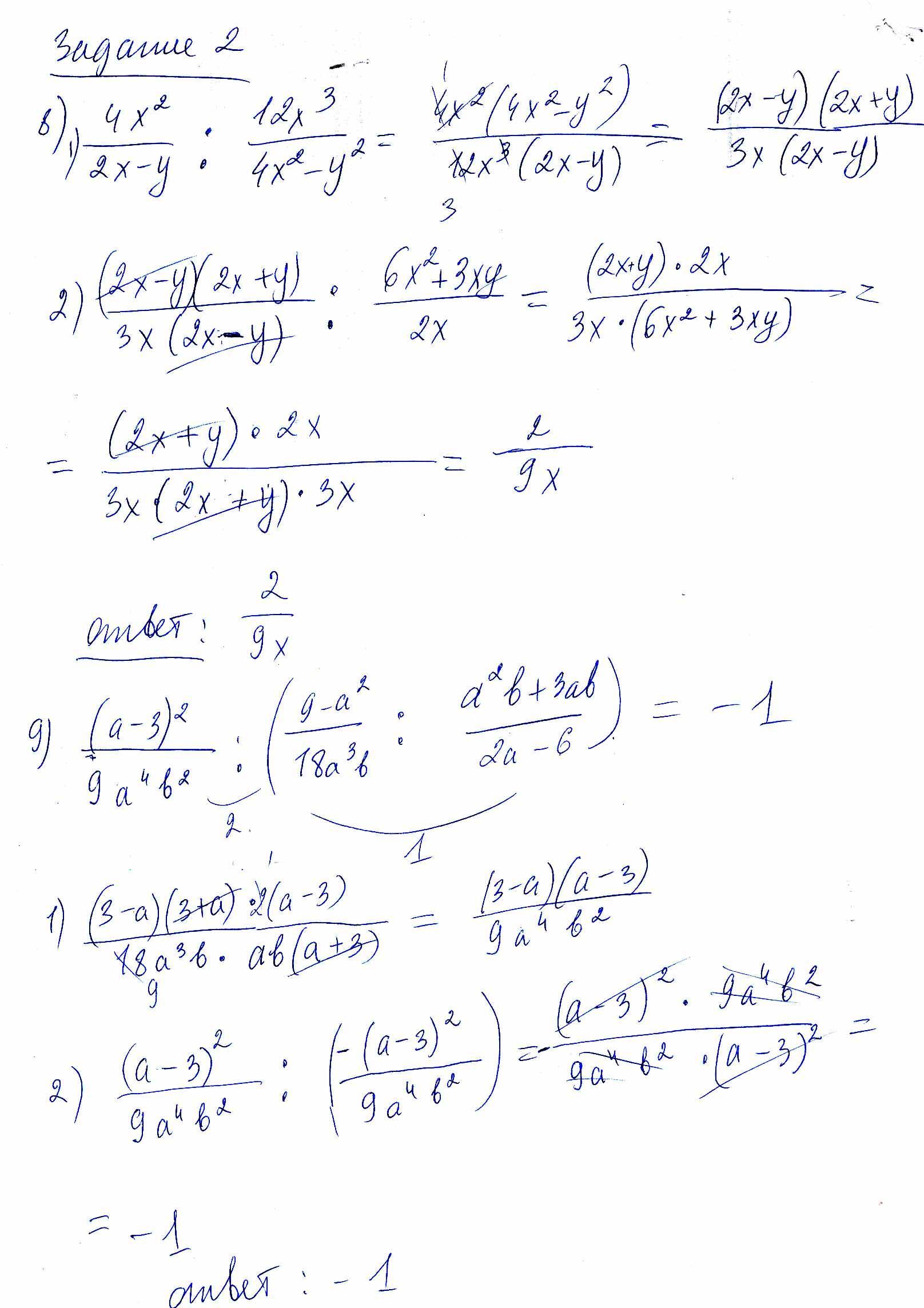
смотри на фото
Пошаговое объяснение:
обрати внимание на файл (с номером 5) с 3 заданием : плохо видно коэффициенты, которые я выделила желтым цветом, если совпадают с условием, то решение верное, если не совпадают, тогда решай сам по аналогии
Приложения:
жду поощрений в благодарность за такую огромную работу
Похожие вопросы
Предмет: Українська література,
автор: cotliardenis
Предмет: Русский язык,
автор: leto2016helloprivki
Предмет: Английский язык,
автор: Аноним
Предмет: Математика,
автор: PAnyaP
Предмет: Английский язык,
автор: tataooo099