Предмет: Алгебра,
автор: krupovadasa15
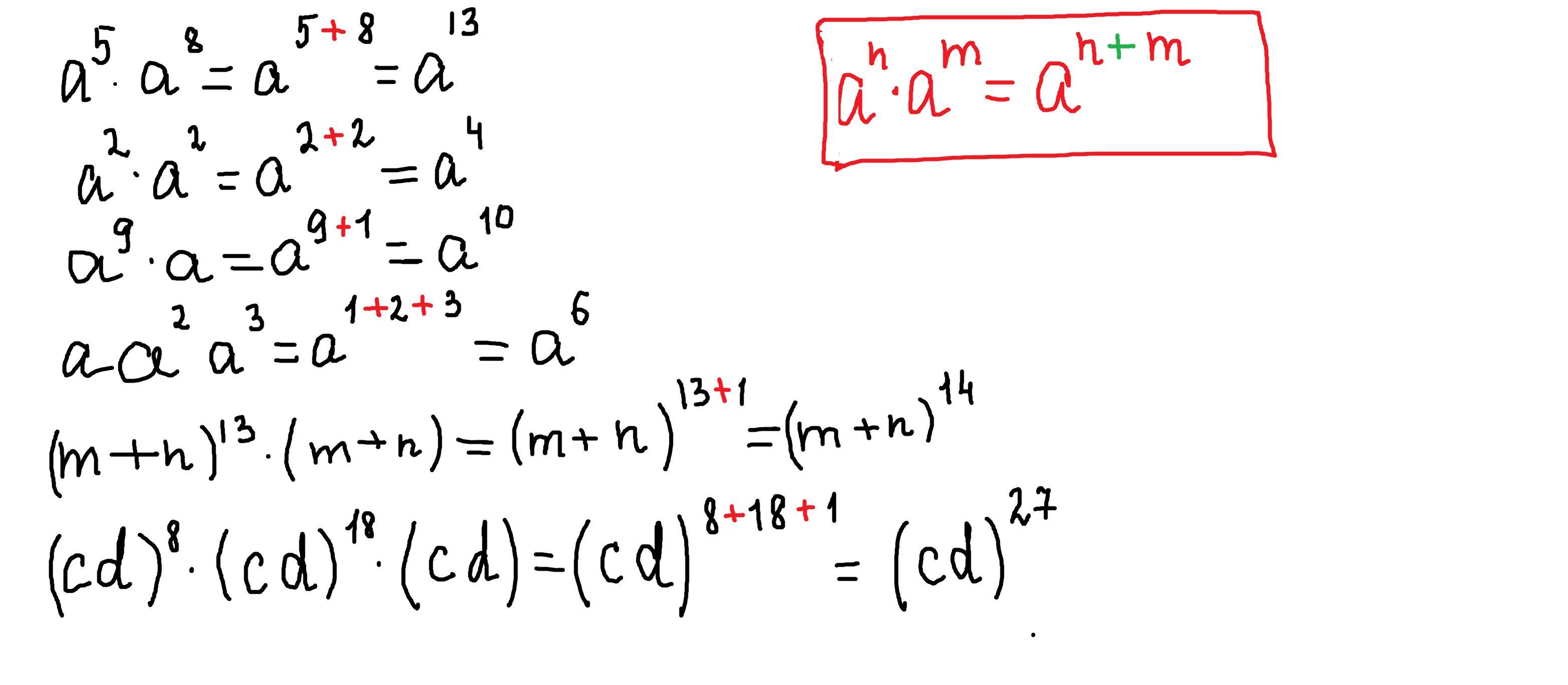
Представьте в виде степени выражения :






Ответы
Автор ответа:
0
Ответ:
Объяснение:
решение внизу
Приложения:
Похожие вопросы
Предмет: Английский язык,
автор: dimon100404
Предмет: Окружающий мир,
автор: Аноним
Предмет: Русский язык,
автор: glushkovaov
Предмет: Математика,
автор: tir30
Предмет: Математика,
автор: dayana7137