Предмет: Алгебра,
автор: krupovadasa15
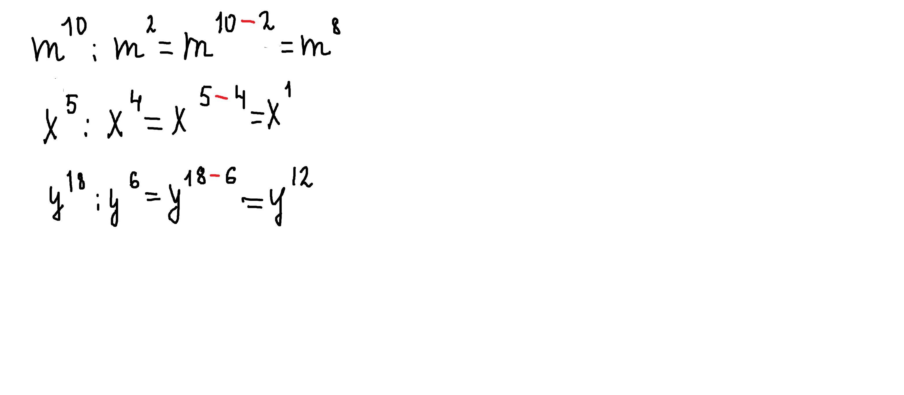
выполните деление



Ответы
Автор ответа:
2
Объяснение:
Автор ответа:
0
Ответ:
Объяснение:
решение внизу
Приложения:
Похожие вопросы
Предмет: Русский язык,
автор: Агастасия111
Предмет: Русский язык,
автор: Агастасия111
Предмет: Українська мова,
автор: Милен2000
Предмет: Психология,
автор: nikinga1975
Предмет: Математика,
автор: guliagabdullina