Предмет: Алгебра, автор: babababa17

помогите решить 11 пожалуйста ​

Приложения:

Ответы

Автор ответа: Npkia
0

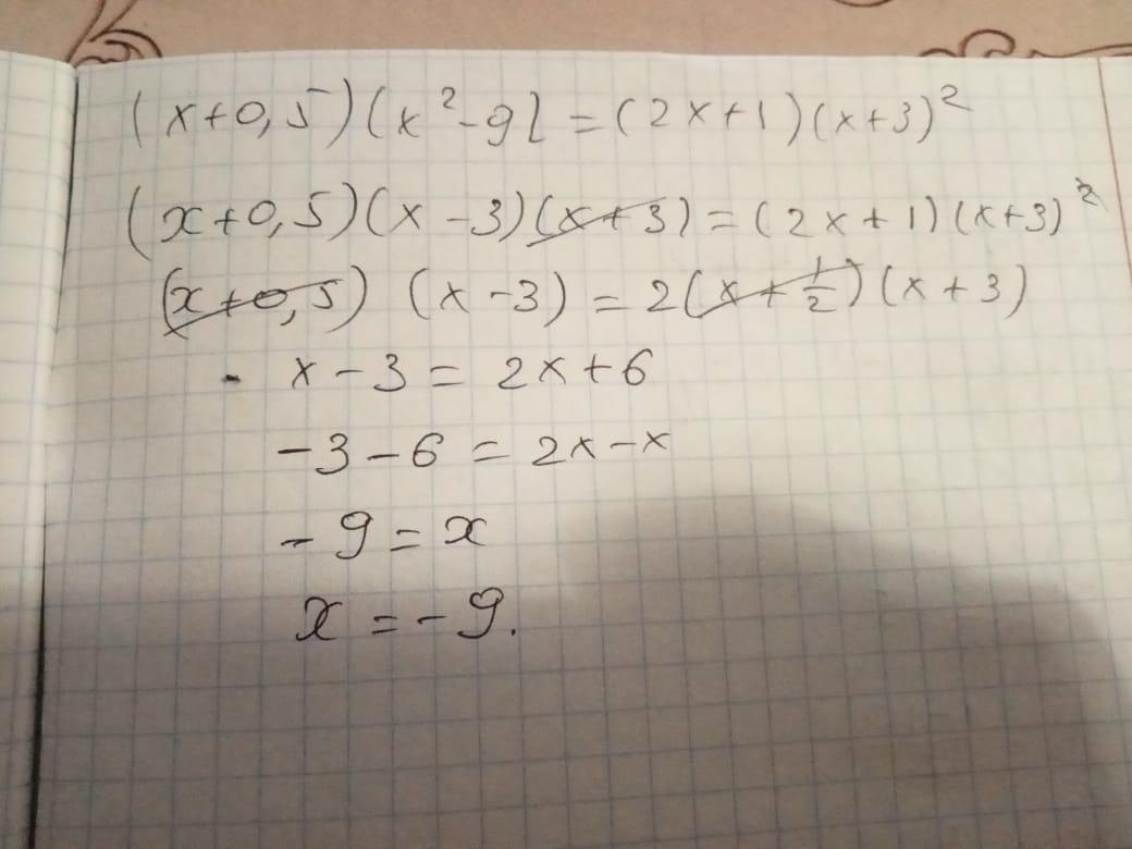
Ответ:

ты это имел ввиду или не это

Объяснение:

Приложения:

babababa17: да ,это
babababa17: спасибо
Npkia: не за что
Npkia: будут вопросы пиши
Похожие вопросы
Предмет: Английский язык, автор: skif42
Предмет: Русский язык, автор: mikulchik62
Предмет: Окружающий мир, автор: марина720
Предмет: Алгебра, автор: LeshaSmolenskiy