Предмет: Алгебра,
автор: diana20079
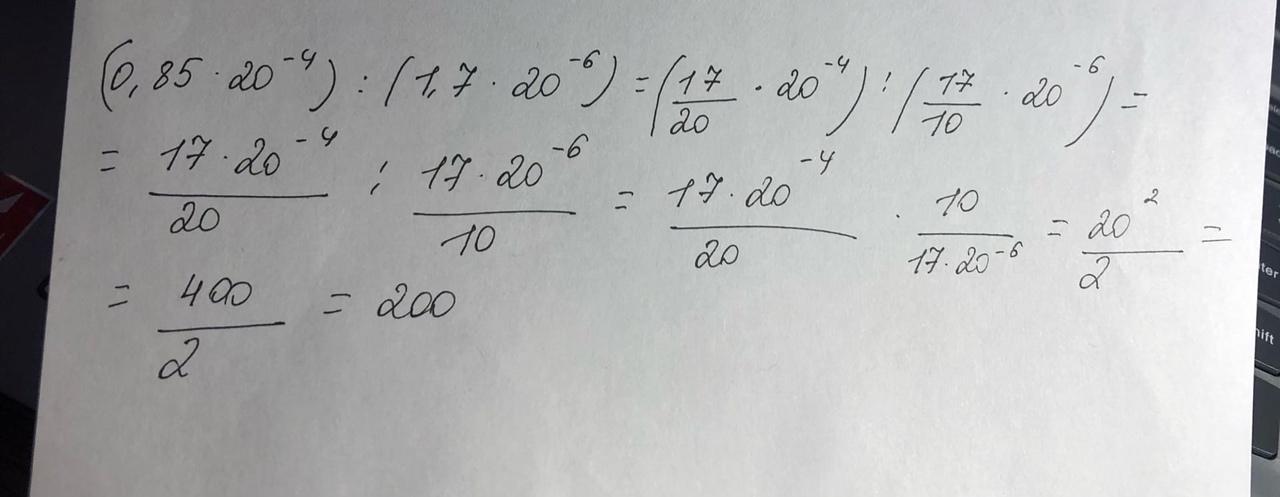
(0,85 *20^-4) :(1, 7*20^-6)
Ответы
Автор ответа:
2
Ответ на фотографии.
Приложения:
Автор ответа:
1
Ответ: 200, см фото.
Объяснение:
Приложения:
Похожие вопросы
Предмет: Русский язык,
автор: 081120071
Предмет: Окружающий мир,
автор: dremina20062
Предмет: Русский язык,
автор: kuzminyhvohmyan
Предмет: Алгебра,
автор: goshakim1998
Предмет: Математика,
автор: Brotanduiwe