Предмет: Математика,
автор: nevedisbolbes23
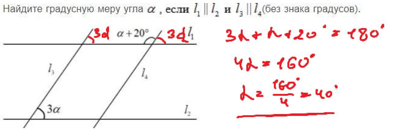
Быстрые 8 баллов. Найдите градусную меру...
Приложения:
Ответы
Автор ответа:
1
Ответ:
40°
Пошаговое объяснение:
вот, держи
3а + а +20° = 180
4а = 160°
а = 40°
oleksandrkolaichuk:
поставь пж корону
Автор ответа:
1
Ответ:
40°
Пошаговое объяснение:
Фото
Приложения:
Похожие вопросы
Предмет: Окружающий мир,
автор: elenabunina85
Предмет: Русский язык,
автор: румани1
Предмет: Другие предметы,
автор: 1235613
Предмет: Химия,
автор: Аноним