Предмет: Алгебра,
автор: Аноним
СРОЧНО ЛЮДИ ПОЖАЛУЙСТА
Приложения:
Ответы
Автор ответа:
1
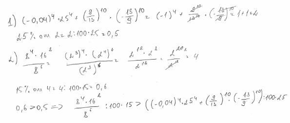
Ответ:
ответ во вложении
Объяснение:
Приложения:
Похожие вопросы
Предмет: Русский язык,
автор: loskumovanina
Предмет: Окружающий мир,
автор: АннаКа1
Предмет: Русский язык,
автор: Теребунька1
Предмет: Математика,
автор: eliaduhina
Предмет: Алгебра,
автор: unanyan7