Предмет: Математика,
автор: eddi86cool
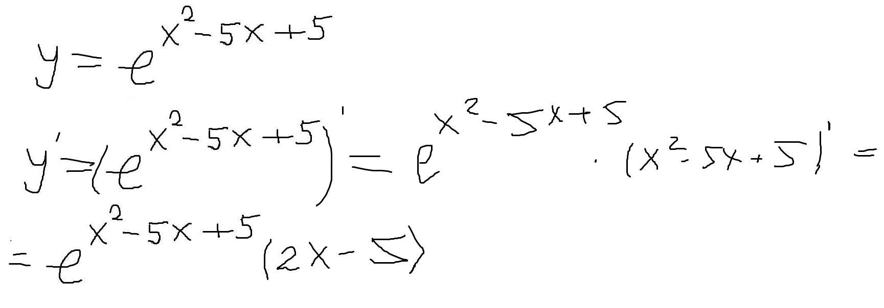
Производная сложной функции y=e^x2-5x+5
Приложения:
Clever46:
y=e^(x2-5x+5) так или как?
Добавил
Ответы
Автор ответа:
0
Ответ:
Пошаговое объяснение:
Приложения:
Похожие вопросы
Предмет: Русский язык,
автор: Аноним
Предмет: Русский язык,
автор: Egor56rus
Предмет: Русский язык,
автор: Аноним
Предмет: Право,
автор: Lily2015
Предмет: Геометрия,
автор: Julia1Black