Предмет: Алгебра,
автор: lenivs
Срочно!!!! Нужна помощь!!!
Приложения:
Ответы
Автор ответа:
1
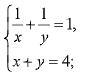
Ответ на фотографии.
Приложения:
Похожие вопросы
Предмет: Українська мова,
автор: pvlad9
Предмет: Русский язык,
автор: Kyramchik
Предмет: Русский язык,
автор: Емеля74
Предмет: Английский язык,
автор: TheTimaDut
Предмет: Алгебра,
автор: Аноним