Предмет: Алгебра,
автор: Аноним
—
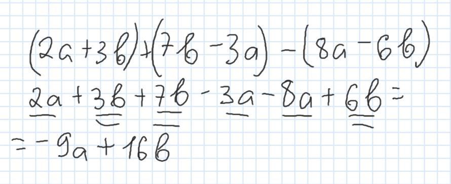
4. Спростіть вираз (2а + 3b) + (7Ь — За) – (8а – 6b):
а) 13а – 4b; б) –9а + 16b; в) 7а - 16b; г) –32а + 4b.
Ответы
Автор ответа:
1
Ответ:
б
Объяснение:
2a+3d+7d-3a-8a+6d
2a-3a-8a=-9a
3d+7d+6d=16d
Автор ответа:
0
Ответ:
прикрепил. ОТВЕТ: Б
Объяснение:
1) Раскрываем скобки
2) Находим подобные
3) Выполняем действия
Приложения:
Похожие вопросы
Предмет: Русский язык,
автор: Ksyunyaz
Предмет: Английский язык,
автор: серый214
Предмет: Русский язык,
автор: YuliyaNeonova
Предмет: Математика,
автор: chekhov1980