Предмет: Алгебра,
автор: katy123654789
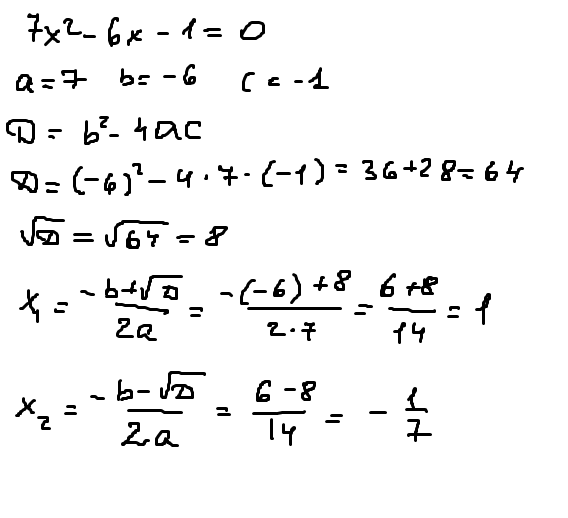
7х квадрат -6х-1ровно 0
Ответы
Автор ответа:
0
решениееееееееееееееееееее
Приложения:
Автор ответа:
0
7x^2-7x+x-1=0. (7x^2-7x)+(x-1)=0. 7x(x-1)+(x-1)=0. (7x+1)(x-1)=0. 7x+1=0 или х-1=0 х=1/7 и х=1
Приложения:
Похожие вопросы
Предмет: Право,
автор: am7821683
Предмет: Английский язык,
автор: Аноним
Предмет: Алгебра,
автор: JebanenkoAnastasiya
Предмет: География,
автор: AVCh
Предмет: Математика,
автор: Аноним