Предмет: Геометрия, автор: aniggot

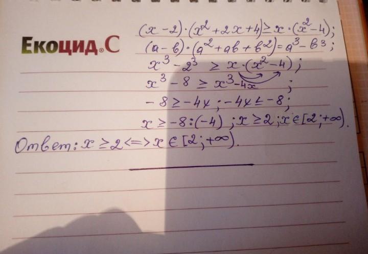
розв'язати нерівність (x-2)(x²+2x+4)≥x(x²-4)​

Ответы

Автор ответа: OblivionFire
2

~~~~~~~~~Фото~~~~~~~~~

Приложения:
Автор ответа: Аноним
2

Объяснение:

(x - 2)(x {}^{2}  + 2x + 4) \geqslant x(x {}^{2}  - 4) \\ x {}^{3}  - 8  \geqslant x(x {}^{2}  - 4) \\ x {}^{3}  - 8 \geqslant x {}^{3}  - 4x \\ x {}^{3}  - 8 - x {}^{3}  \geqslant  - 4x \\  - 8  \geqslant  - 4x \\  - 4x \leqslant  - 8 \\ x \geqslant  - 8 \div ( - 4) \\ x \geqslant 2

Похожие вопросы
Предмет: Русский язык, автор: Аноним
Предмет: Геометрия, автор: Анетта09