Предмет: Математика, автор: ignatkutenkov28

Здравстуйте помогите пожалуйста дам 20 баллов!

Приложения:

Ответы

Автор ответа: Аноним
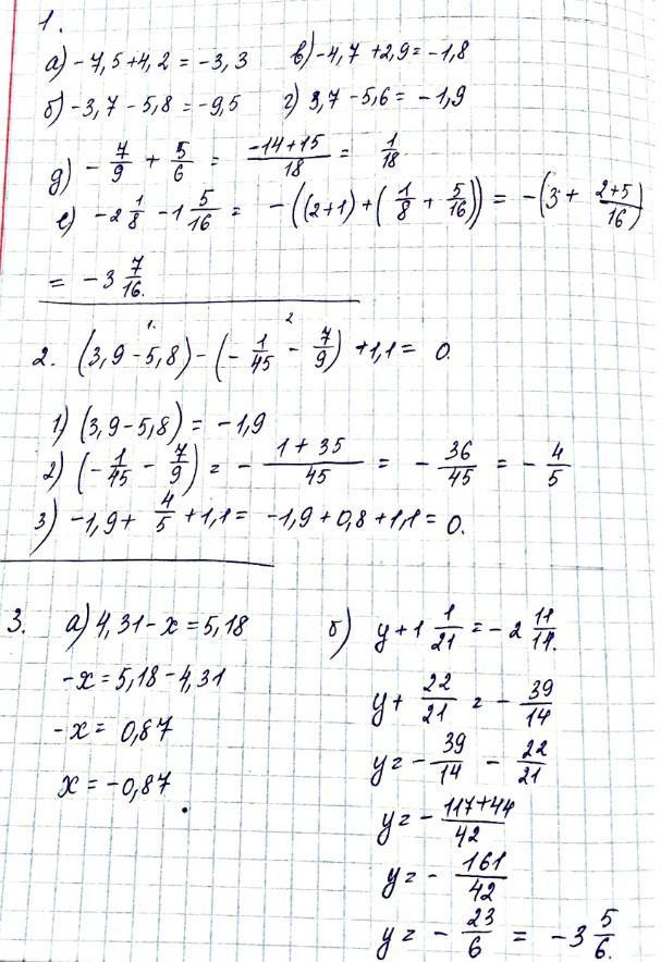
1

см. вложение............

Приложения:
Похожие вопросы
Предмет: Русский язык, автор: олег554
Предмет: Английский язык, автор: 163salikpah3ii
помогите с тестом, очень нужна ваша помощь
Вопрос 1
I am so angry with them. I ..… kill them!

Ответы
1. could
2. must
3. can
4. should

------------------------------------------------------------------------------------------------

Вопрос 2
She looked at the table. There was a loaf of brown bread ______ into two halves

Ответы
1. dividing
2. divided
3. divides
4. was divided

------------------------------------------------------------------------------------------------
Вопрос 3
Library books mustn’t ..... for more than two weeks.

Ответы
1. have kept
2. be keeping
3. be kept
4. keep

------------------------------------------------------------------------------------------------




Вопрос 4
The story ______ by the old captain made the young girl cry.

Ответы
1. is telling
2. is
3. tells
4. told

------------------------------------------------------------------------------------------------

Вопрос 5
The conference closed ..... discussing about a dozen reports.

Ответы
1. at
2. by
3. before
4. after

------------------------------------------------------------------------------------------------
Вопрос 6
I am glad ..... to stay with them in their country-house.

Ответы
1. to invite
2. to have been invited
3. to have invited
4. to be invited
------------------------------------------------------------------------------------------------
Вопрос 7
A dog ..... by the small red car.

Ответы
1. is hitting
2. hit
3. was hit
4. was hitting

------------------------------------------------------------------------------------------------

Вопрос 8
Are you going to read the report? No, I ..… . I already know what it says.

Ответы
1. mustn’t
2. needn’t
3. can’t
4. shouldn’t

------------------------------------------------------------------------------------------------


Вопрос 9
______ what he wanted he took his hat and left.


Ответы
1. Getting
2. Having got
3. Having
4. got
------------------------------------------------------------------------------------------------
Вопрос 10
It’s incredible to think that these clothes ______ by Queen Victoria.


Ответы
1. wear
2. are being
3. worn
4. are being worn

------------------------------------------------------------------------------------------------

Вопрос 11
In my youth I ______ 5 miles without stopping.


Ответы
1. Could ran
2. Can to
3. Could to run
4. Could run
------------------------------------------------------------------------------------------------

Вопрос 12
When ...?

Ответы
1. has the letter been posted
2. was the letter posted
3. has the letter posted
4. did the letter post
------------------------------------------------------------------------------------------------


Вопрос 13
I am glad ..... to stay with them in their country-house.

Ответы
1. to have invited
2. to have been invited
3. to be invited
4. to invite
------------------------------------------------------------------------------------------------

Вопрос 14
We ... by a loud noise during the night.


Ответы
1. are woken up
2. woke up
3. were waking up A new supermarket is
4. were woken up
------------------------------------------------------------------------------------------------

Вопрос 15
Weather in England ______ very quickly.

Ответы
1. Can changes
2. Cans change
3. Can to change
4. Can change