Предмет: Алгебра,
автор: МашуляСнЯтКоВа
помогите пожалуйста алгебра 10 класс!!
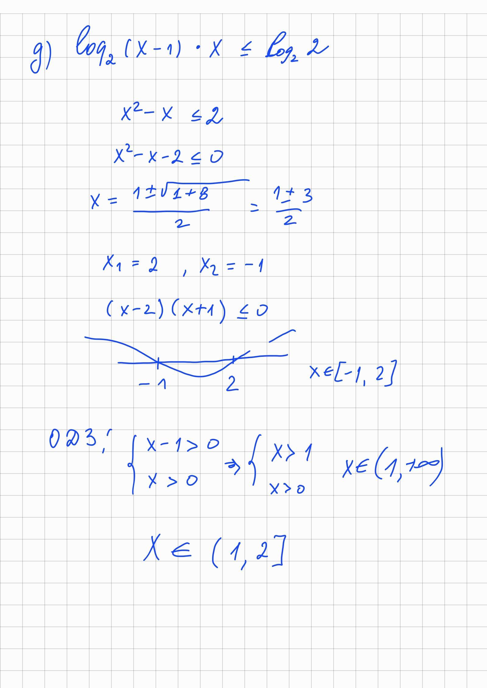
только последние два пункта решите
под буквами f) и g)
Приложения:
Ответы
Автор ответа:
1
Відповідь:
Пояснення:
Приложения:
Похожие вопросы
Предмет: Русский язык,
автор: ary03
Предмет: Окружающий мир,
автор: фантаста
Предмет: Другие предметы,
автор: qwerty2001qwer
Предмет: Другие предметы,
автор: artemzharov
Предмет: Русский язык,
автор: Saymon09890