Предмет: Алгебра,
автор: m4lvinna
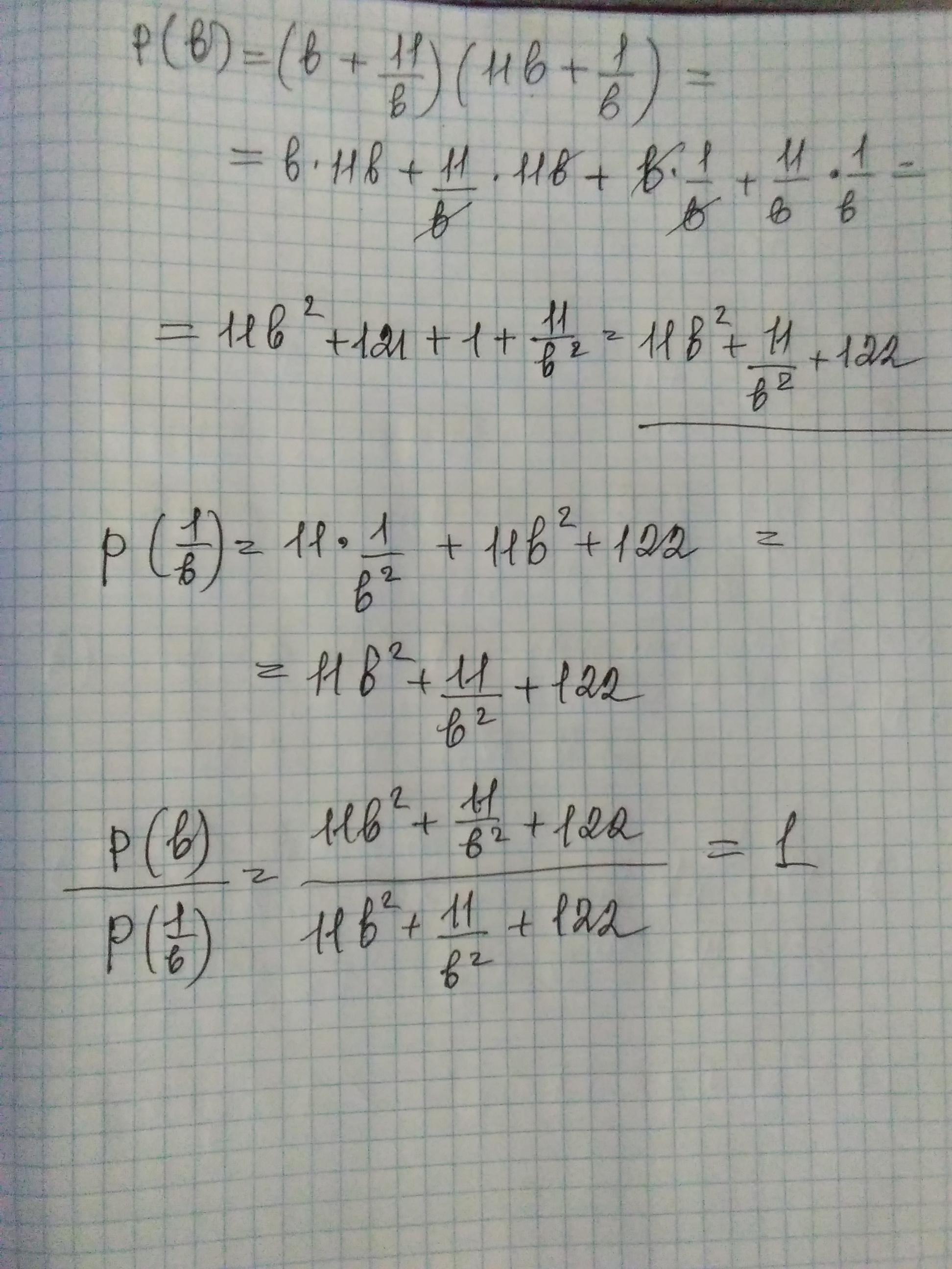
Найдите значение выражения
Приложения:
Ответы
Автор ответа:
0
Смотри..........................
Приложения:
Похожие вопросы
Предмет: Русский язык,
автор: nilufar81
Предмет: Русский язык,
автор: VIPpersona5
Предмет: Русский язык,
автор: minilo
Предмет: Математика,
автор: ssssppp
Предмет: Физика,
автор: andreyefimenko1