Предмет: Алгебра,
автор: gachaangel90
Прошу впоследний раз, помогите с 3-им
Приложения:
Ответы
Автор ответа:
1
Объяснение:
ррссрсрсрспснснснснсрананвеевечяе
Приложения:
gachaangel90:
спасибочки
а кто вас просил подставлять значения х и у в данное выражение?вы выполнили другое задание.
во первых я просто спросила,а во вторых посмотри внимательней там не подставлено!
ой,извините это не то задание
Автор ответа:
1
Ответ:
Объяснение:
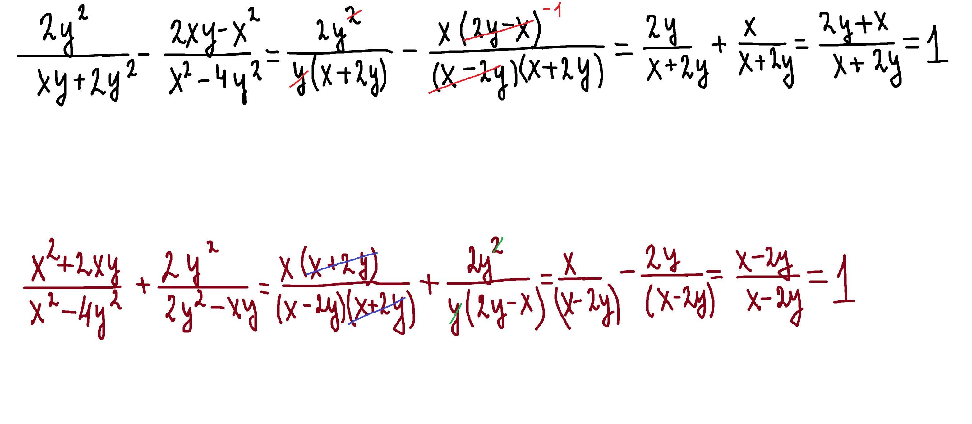
решение внизу.Значение выражений равно 1,и не зависит от Х и У
Приложения:
Похожие вопросы
Предмет: Русский язык,
автор: привет312
Предмет: Қазақ тiлi,
автор: Лалазар
Предмет: Русский язык,
автор: МИЯКИ1
Предмет: Математика,
автор: katepande2395
Предмет: Геометрия,
автор: ksamoilenko