Предмет: Алгебра, автор: janibektoktogulov123

(Х⁴+х³+х²-х-2) (х²+х-2)
помогите решить!!!!​

Ответы

Автор ответа: lianevskaya
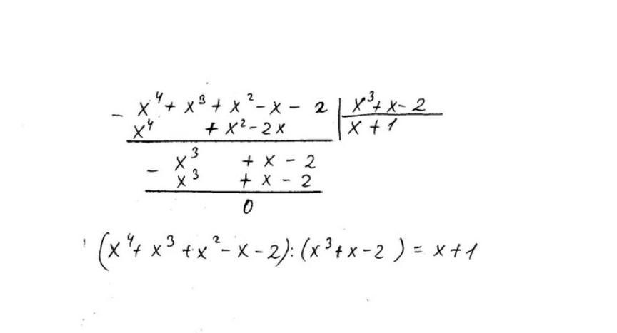
1

Ответ:

х+1

................................

Приложения:

janibektoktogulov123: спасибо большое
Автор ответа: DanilaKotov3619
1

Ответ:

x^{6} +2x^{5} -2x^{3} -5x^{2} +4

Объяснение:

(x^{4} +x^{3} +x^{2} -x-2)*(x^{2} +x-2)\\\\x^{6} +2x^{5} +0-2x^{3} -5x^{2} +4

Ответ: x^{6} +2x^{5} -2x^{3} -5x^{2} +4

Похожие вопросы
Предмет: Русский язык, автор: катяблабла
Предмет: Химия, автор: maxxlypk