Предмет: Алгебра,
автор: Аноним
памагитєєєє пожалуйстааа
Приложения:
Ответы
Автор ответа:
0
Ответ:
Объяснение:
решение смотри внизу
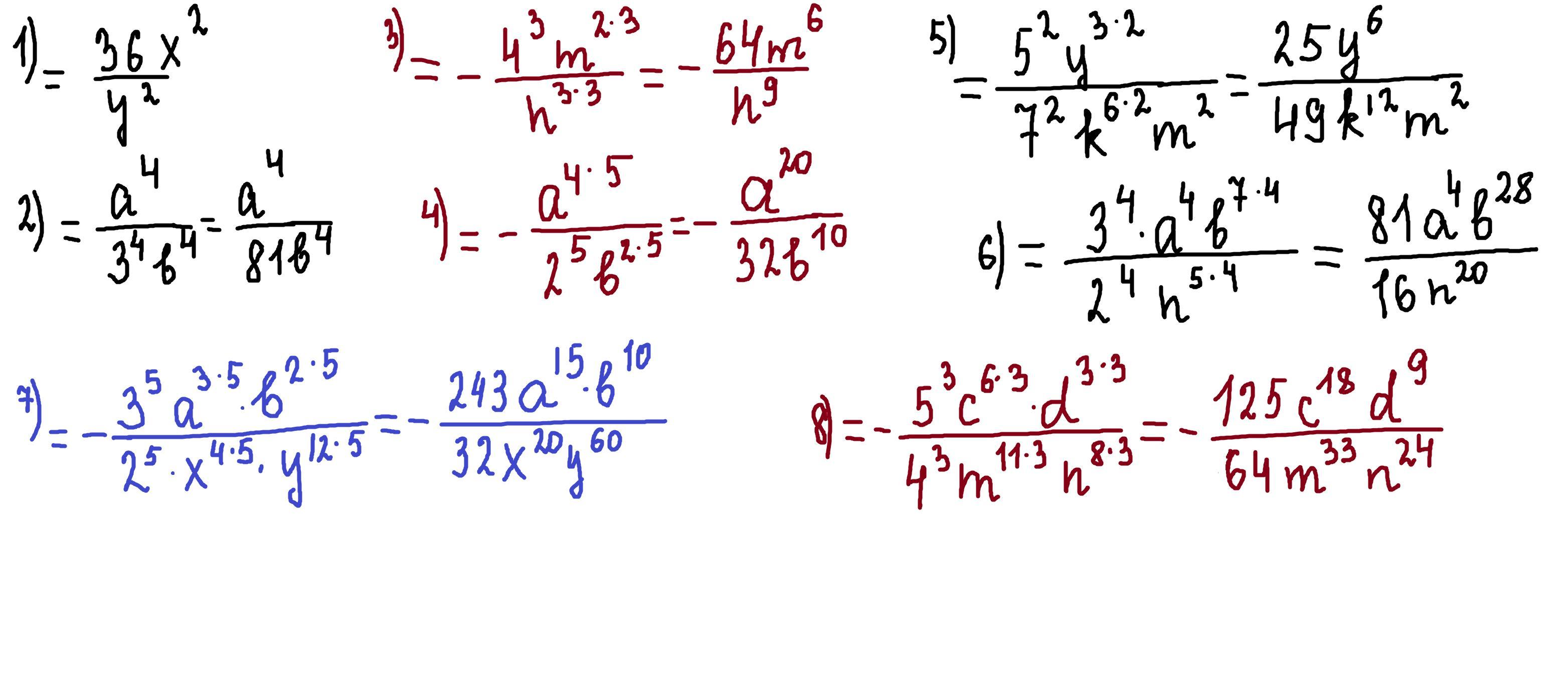
при умножении степеней с одинаковым основанием показатели складываются,при делении-вычитаются.при возведении степени в степень показатели перемножаются.выполняем преобразование в левой части,до тех пор пока она не станет равной правой части.
Приложения:
Похожие вопросы
Предмет: Английский язык,
автор: gleb20005
Предмет: Русский язык,
автор: 222ololo2222
Предмет: Русский язык,
автор: Сердце11111
Предмет: Математика,
автор: valievav1
Предмет: Английский язык,
автор: Armyan90