Предмет: Алгебра,
автор: Аноним
Помогите одночлен Мне короче хана
Приложения:
Ответы
Автор ответа:
2
Ответ:
а)1а⁶/8; б)64а³с¹²;в)-1000x⁶y¹⁸;г)8a³b¹²
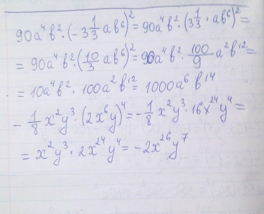
а)140а³;б)-500x⁹; в)-64y¹¹;г)-2x²⁶y⁷; д)810a⁶b¹⁴
LizaShaidyuk2007:
У меня так же, только в последнем другое
В самом последнем? Не знаю, я проверил, но,думаю, правильно
Автор ответа:
2
Объяснение:
Держи свой ответ
..
........
Приложения:
Чего?)))))))
Похожие вопросы
Предмет: Русский язык,
автор: Акнур20
Предмет: Русский язык,
автор: liza669
Предмет: Русский язык,
автор: Cvenjva86
Предмет: Русский язык,
автор: domaradzkalisak
Предмет: Русский язык,
автор: fred43