Предмет: Алгебра,
автор: 30072008vika
Будь ласка допоможіть. Дуже дякую
Приложения:
Ответы
Автор ответа:
1
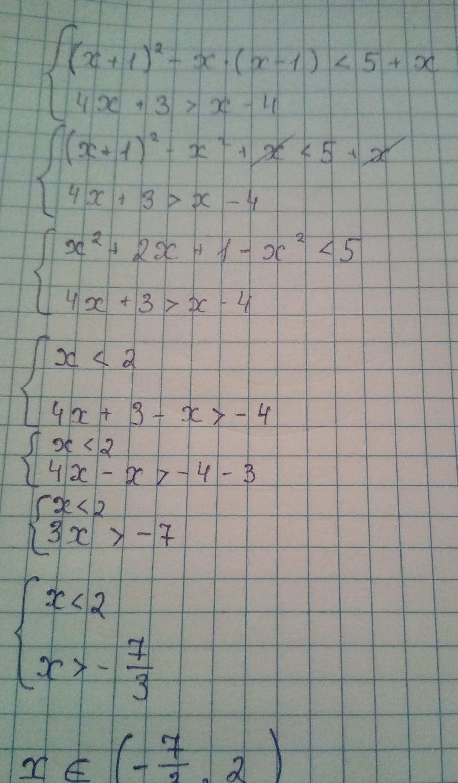
Объяснение:
Я не знаю як ви вирішуєте це в класі, аде в мене так вийшло)))
Приложения:
Похожие вопросы
Предмет: Русский язык,
автор: olechkagubina
Предмет: Қазақ тiлi,
автор: коасотка
Предмет: Окружающий мир,
автор: диана910
Предмет: Алгебра,
автор: umaq
Предмет: Английский язык,
автор: 345Диана123