Предмет: Математика, автор: annaklimyuk07

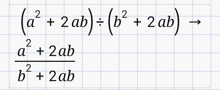
(а²+2аб)÷(б²+2аб)
Пожалуйста помогите!! Олимпиада​

Ответы

Автор ответа: 666hello
2

 \frac{ {a}^{2} + 2ab }{ {b}^{2}  + 2ab}  =  \frac{a(a + 2b)}{b(b + 2a)} .

Автор ответа: toshkamoshka107
2

Ответ:

Надеюсь правильно

Приложения:

annaklimyuk07: а как дальше? известно а÷б=1÷7. Пожалуйста помоги
666hello: А зачем в условии это не указал?
666hello: a= x. b = 7x. Подставляешь вместо a и b, находишь.
annaklimyuk07: забыла) спасибо
annaklimyuk07: а напиши пж решение, а то проблемы у меня
Похожие вопросы
Предмет: Окружающий мир, автор: anastasiyaklimo
Предмет: Математика, автор: nikita1373