Предмет: Геометрия,
автор: milkiiikssha
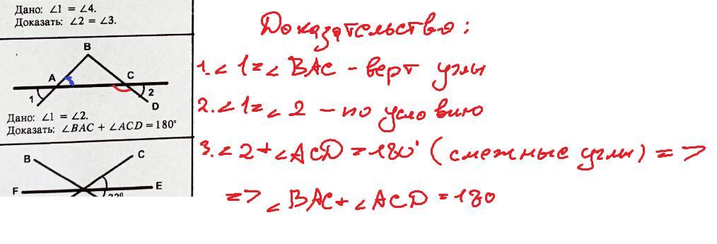
Угол1=Угол2
Доказать:ВАС+ACD=180 градусов
ПОМОГИТЕ ПОЖАЛУЙСТА!!!!
Приложения:
Ответы
Автор ответа:
0
Ответ:
Фото
Объяснение:
Приложения:
Похожие вопросы
Предмет: Русский язык,
автор: khacharueva
Предмет: Русский язык,
автор: khacharueva
Предмет: Українська мова,
автор: mufosa59
Предмет: Биология,
автор: Emiliyalove