Предмет: Алгебра,
автор: vnev

ВОЗВЕДЕНИЕ УРАВНЕНИЯ В ЧЕТНУЮ СТЕПЕНЬ
Ответы
Автор ответа:
0
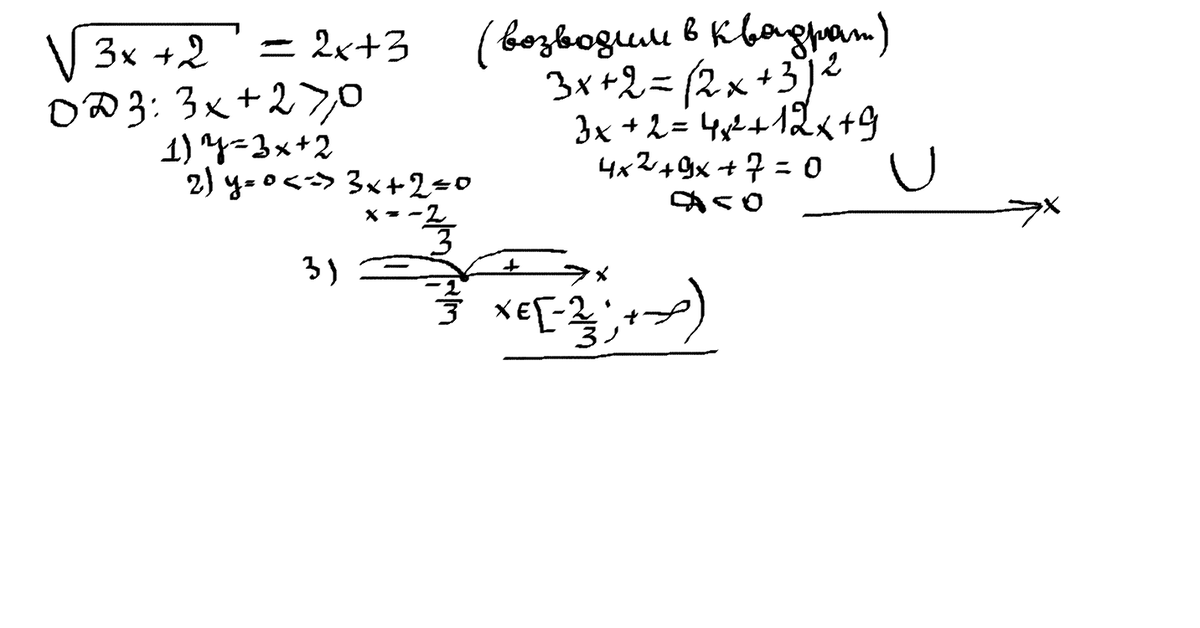
решение во вложении.
Приложения:
Похожие вопросы
Предмет: Литература,
автор: liiimur
Предмет: Русский язык,
автор: Аноним
Предмет: Биология,
автор: Dorimak
Предмет: Математика,
автор: nastya00123
Предмет: Химия,
автор: Guzyaka