Предмет: Алгебра,
автор: danik4487
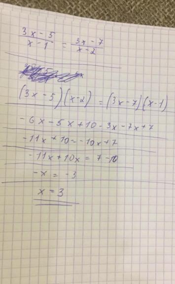
Рішіть рівняння. Допоможіть. 3х-5/х-1=3х-7/х-2
Приложения:
Ответы
Автор ответа:
0
Ответ:
/////////////////////////
Объяснение:
Приложения:
Похожие вопросы
Предмет: Русский язык,
автор: anitavinogradova
Предмет: Русский язык,
автор: Ksykiss
Предмет: Другие предметы,
автор: Аноним
Предмет: Физика,
автор: krikilirt
Предмет: Геометрия,
автор: mayli