Предмет: Математика,
автор: dmitrijrizak
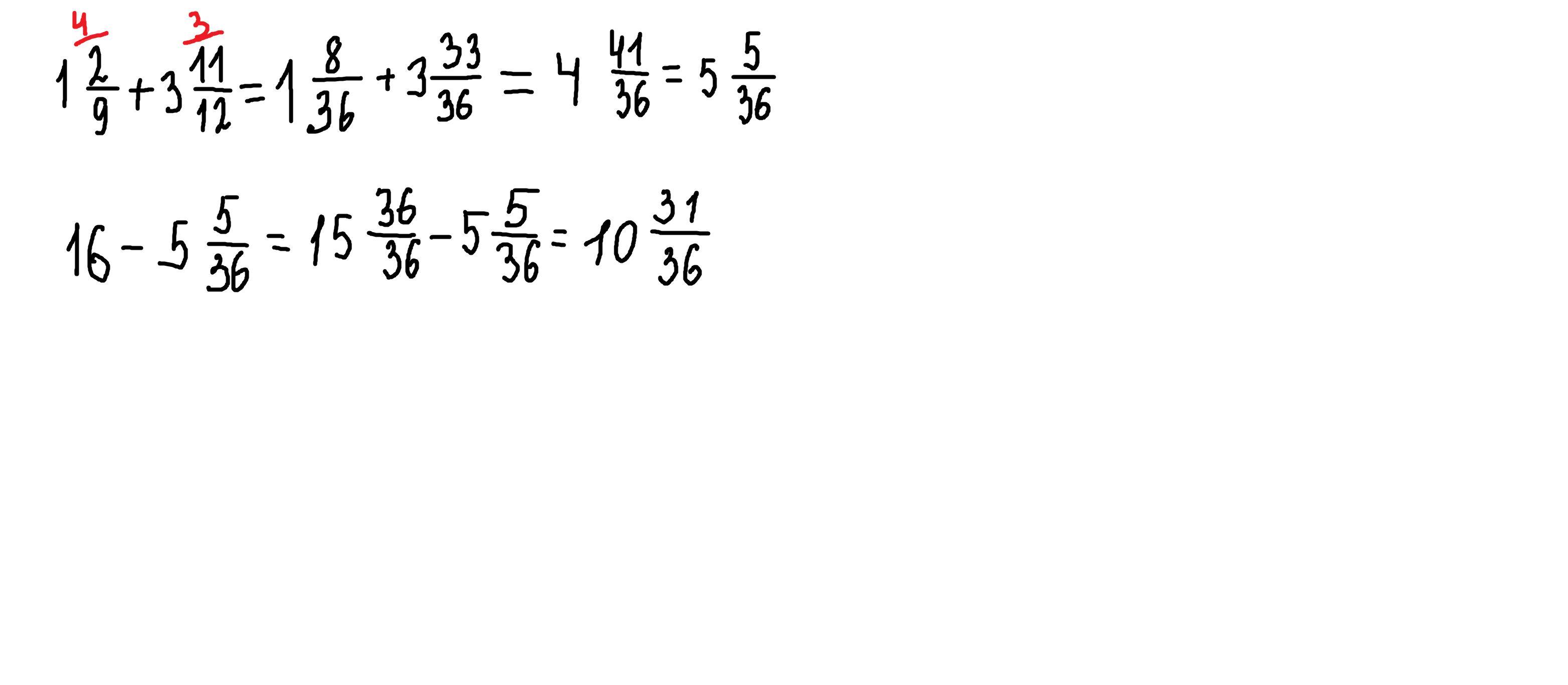
16 - (1 2/9 + 3 11/12) =
Ответы
Автор ответа:
0
Ответ:
Пошаговое объяснение:
16 - (1 2/9 + 3 11/12) = 16 - (11/9 + 47/12) = 16- (44/36 + 141/36)=
= 16 - 185/36 = 16 - 5 5/36= 10 31/36
Автор ответа:
0
Ответ:
10 31\36
Пошаговое объяснение:
решение внизу
Приложения:
Похожие вопросы
Предмет: Русский язык,
автор: Rapiyat
Предмет: Українська мова,
автор: tolik19788
Предмет: Русский язык,
автор: madina2676
Предмет: Английский язык,
автор: nataliamoshkun