Предмет: Алгебра,
автор: Аноним
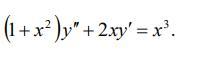
Найти общее решение дифференциального уравнения.
Приложения:
Ответы
Автор ответа:
1
Ответ:
Resheno
Объяснение:
Приложения:
Похожие вопросы
Предмет: Русский язык,
автор: оса2002
Предмет: Английский язык,
автор: dad775
Предмет: Русский язык,
автор: Аноним
Предмет: Английский язык,
автор: VOLENDEMORT68
Предмет: Алгебра,
автор: inputfeatures