Предмет: Математика, автор: criminalgirls251

Пожалуйста помогите
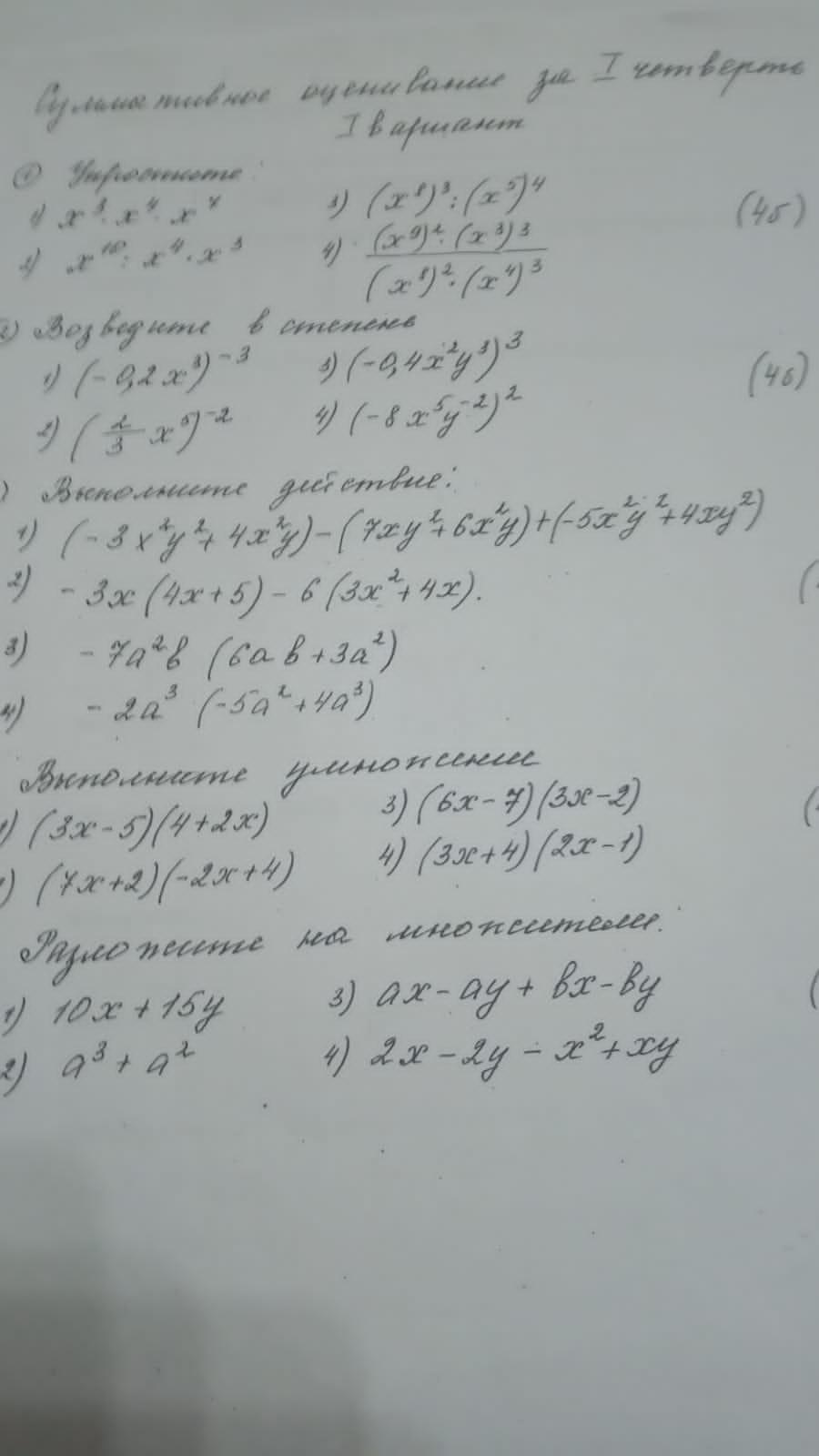
1 и 2 задание пожалуйста

Приложения:

Ответы

Автор ответа: kazibekovnaalmagul
1

Ответ:

1) Х³×Х⁴×Х⁷=Х¹⁴

Пошаговое объяснение:

Тип когда умножают степени друг на друга добавляется остальные тож так


criminalgirls251: А где 2?
kazibekovnaalmagul: Ой прости я не заметил
Похожие вопросы
Предмет: Українська мова, автор: 20161718
Предмет: Английский язык, автор: SAsSddsd
Предмет: Литература, автор: sony88
Предмет: Алгебра, автор: issayolo123