Предмет: Математика, автор: 09ibond

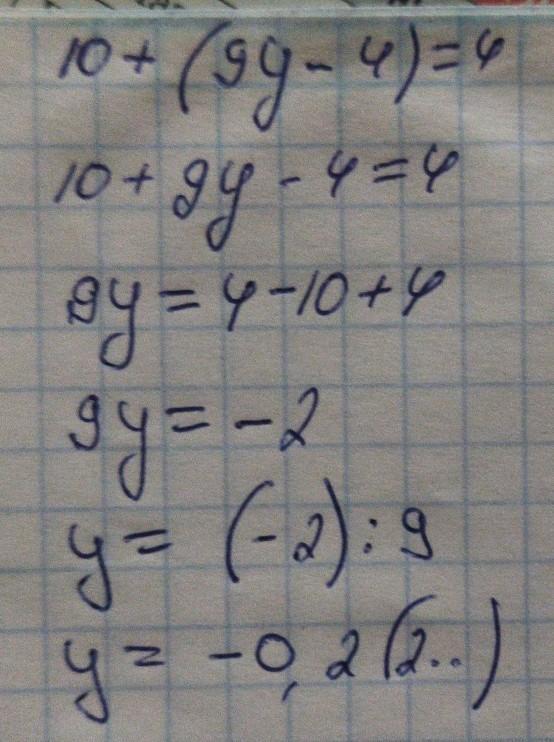
10+(9y-4)=4.
решите пожалуста​

Ответы

Автор ответа: Ariink
1

Пошаговое объяснение:

Воть, надеюсь помогла, всё на фото

Приложения:

09ibond: спасибочки, очень сильно помогла!!!
Ariink: <3
Автор ответа: Аноним
1

Пошаговое объяснение:

10 + (9y - 4) = 4 \\ 6 + 9y = 4 \\ 9y = 4 - 6 \\ 9y =  - 2 \\ y =  - 2 \div 9 \\ y =  -  \frac{2}{9}

Похожие вопросы
Предмет: Другие предметы, автор: хадишка777
Предмет: Математика, автор: дрюня555