Предмет: Алгебра,
автор: viktoriarodaeva
30 баллов алгебра помогите пж
Приложения:
Ответы
Автор ответа:
2
Объяснение:
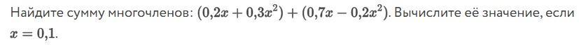
раскроем скобки
0,2x+0,3x2+0,7x-0,2x2
приведём подобные слагаемые
0,9x+0,1x2
подставим в место x 0,1
0,9*0,1+0,1*0,1²
0,09+0,001=0,091
Похожие вопросы
Предмет: Русский язык,
автор: Dzah1
Предмет: Русский язык,
автор: andreq2209
Предмет: Русский язык,
автор: zina35
Предмет: Геометрия,
автор: myddisan