Предмет: Алгебра,
автор: guridova
ПОМОГИТЕ СРОЧНО ПРОШУ!!!!!! ПОЖАЛУЙСТА ПОМОГИТЕ....
Приложения:
Ответы
Автор ответа:
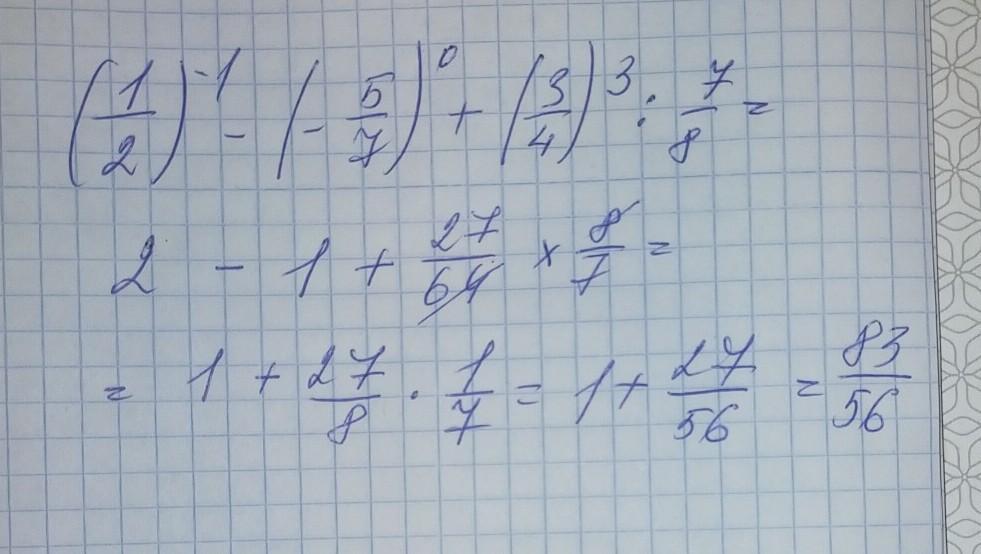
1
Объяснение:
минус первая степень, значит дробь переворачиваетсч
нулевая степень равна 1
Приложения:
guridova:
Просто это все переписать?
СПАСИБОО БОЛЬШОЕЕ❤️❤️!!!
Похожие вопросы
Предмет: Окружающий мир,
автор: данил806
Предмет: Английский язык,
автор: veruska199696
Предмет: Русский язык,
автор: 12345678910283
Предмет: Геометрия,
автор: MaksKeKlOPl
Предмет: Геометрия,
автор: Rizanur