Предмет: Математика, автор: alex1984ahs

Элипсоид. даю 50 баллов

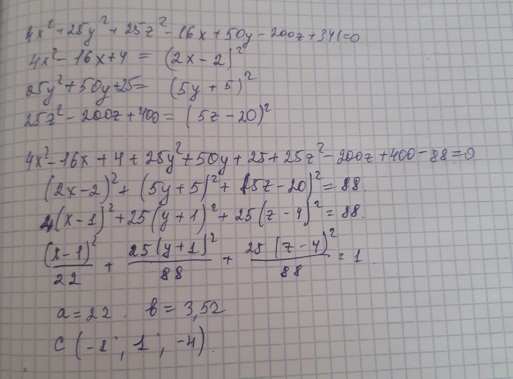
4х^2+25у^2+25z^2-16x+50y-200z+341=0

С( , , ,), а, b - ?​

Ответы

Автор ответа: bahytgulkabylainova
1

Пошаговое объяснение:

см фото,,,,,,,,,,,,,,,,,,,,,,,,,

Приложения:
Похожие вопросы
Предмет: Английский язык, автор: Marselin2004
Поездка была недолгой. Спустя несколько минут волшебный самолет был под большим старым деревом. Сара была посреди Дикого леса. Она не знала, куда идти. "Как я могу выбраться отсюда?" - спросила она. "Вы не можете найти дорогу?" – вдруг она услышала голос. Она посмотрела вверх и вниз, но никого не увидела. Рядом с местом, где она стояла, было просто уродливое старое дерево. Затем она услышала голос снова: "Говори громче! Я не слышу тебя! Вас не научили говорить по-английски в школе?" Сара поняла, что дерево разговаривает с ней. "Сядьте, пожалуйста», - сказала Сара. "Я ищу волшебные семена горчицы." "У уксусной ведьмы может быть немного, но я не уверено", - сказало дерево. "Путь в замок ведьмы находится слева от дороги, ведущей к волшебному аэропорту." "Могли бы вы повторить, пожалуйста?» - сказала Сара. "Это очень трудно запомнить." "Конечно, нет", - сказало дерево. "Вы, молодежь, должны учиться работать без посторонней помощи. Ну, поторопитесь!» И оно грустно покачало листьями. Сара пошла вперед. Было трудно идти, потому что было темно. Она хотела сесть в автобус, но не было никаких автобусов в диком лесу. Так ей пришлось идти пешком. Это был долгий путь. К тому времени, она увидела ведьмин дом, было уже утро. Она подошла к замку и увидела, что ключ был в двери. Она открыла ее и вошла. "Подойди сюда!", - услышала она голос сверху. Она подошла и там она увидела большую комнату. Посреди этой комнаты горел огонь. Перед огнем было два кресла, и в одном из них была уродливая старая ведьма. Ее приветливый чёрный кот, Полночь, был в другом.
Предмет: Математика, автор: BMW38505
Предмет: История, автор: Shmatcko