Предмет: Химия,
автор: limonshik76
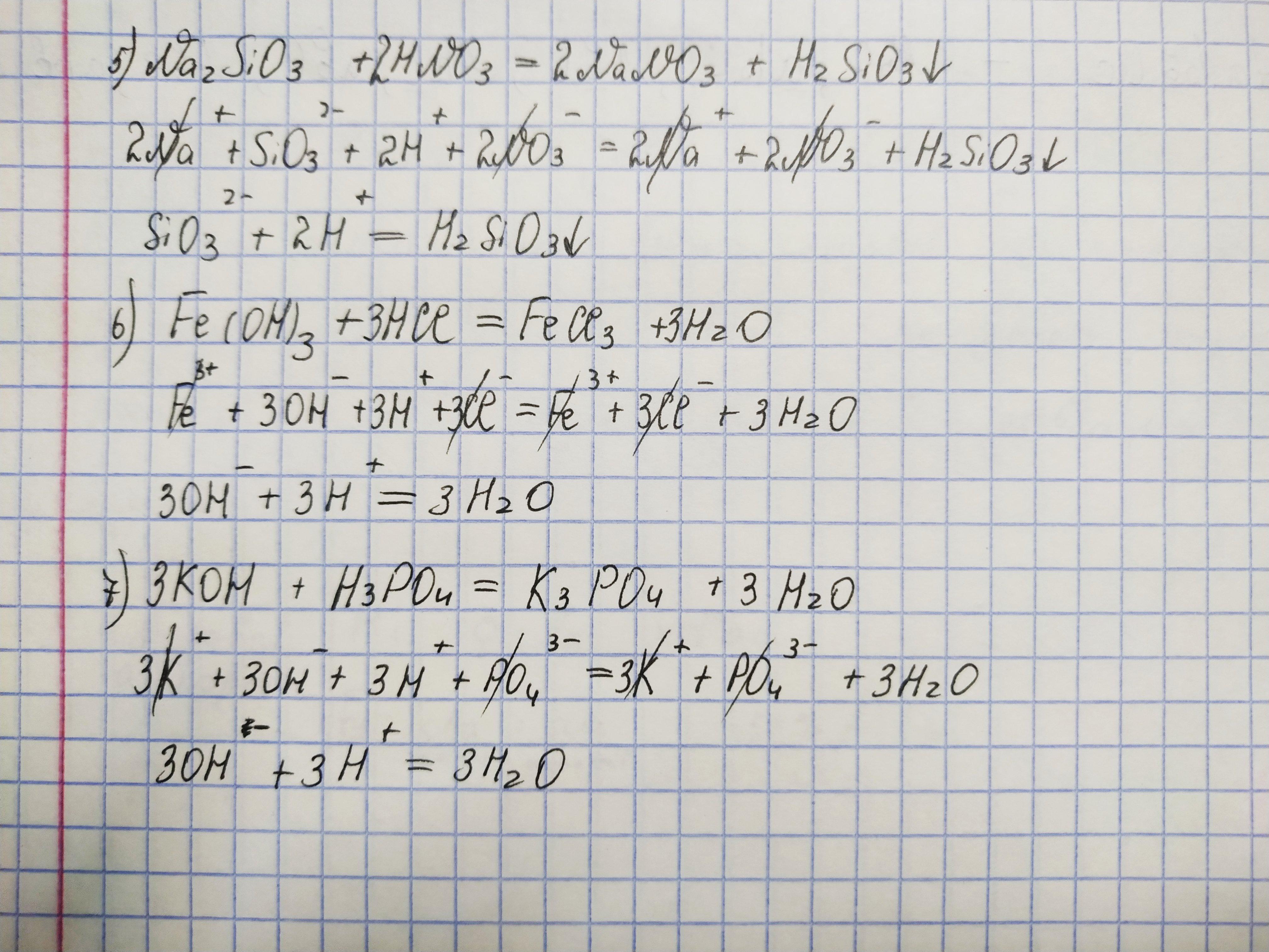
Напишіть молекулярні,повні та скорочені йонні рівняння реакцій між попарно взятими речовинами.Будь ласка,хто зможе даю максимульну кількість баллів!
Приложения:
Ответы
Автор ответа:
1
Ответ:
На фото)
Объяснение:
Приложения:
limonshik76:
оченннььь спасибооо тебе выручила меня❤️
Похожие вопросы
Предмет: Английский язык,
автор: diananadwirnak2705
Предмет: Русский язык,
автор: ilmir95091111111111
Предмет: Английский язык,
автор: МилашкаСашка
Предмет: Немецкий язык,
автор: NikX7