Предмет: Алгебра,
автор: Аноним
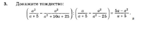
пожАЛУЙСТА ПОМОГИТЕ С РЕШЕНИЕМ!!
Приложения:
Ответы
Автор ответа:
0
Ответ:
5 все скорочується тут квадратна
Автор ответа:
0
Вот, готово пожалуйста <3
Приложения:
Похожие вопросы
Предмет: Қазақ тiлi,
автор: Adil0177
Предмет: Українська мова,
автор: Ангелінка2016
Предмет: Английский язык,
автор: egtagaew
Предмет: Литература,
автор: Petrina228
Предмет: История,
автор: BKBBALL