Предмет: Математика,
автор: dashanaz26
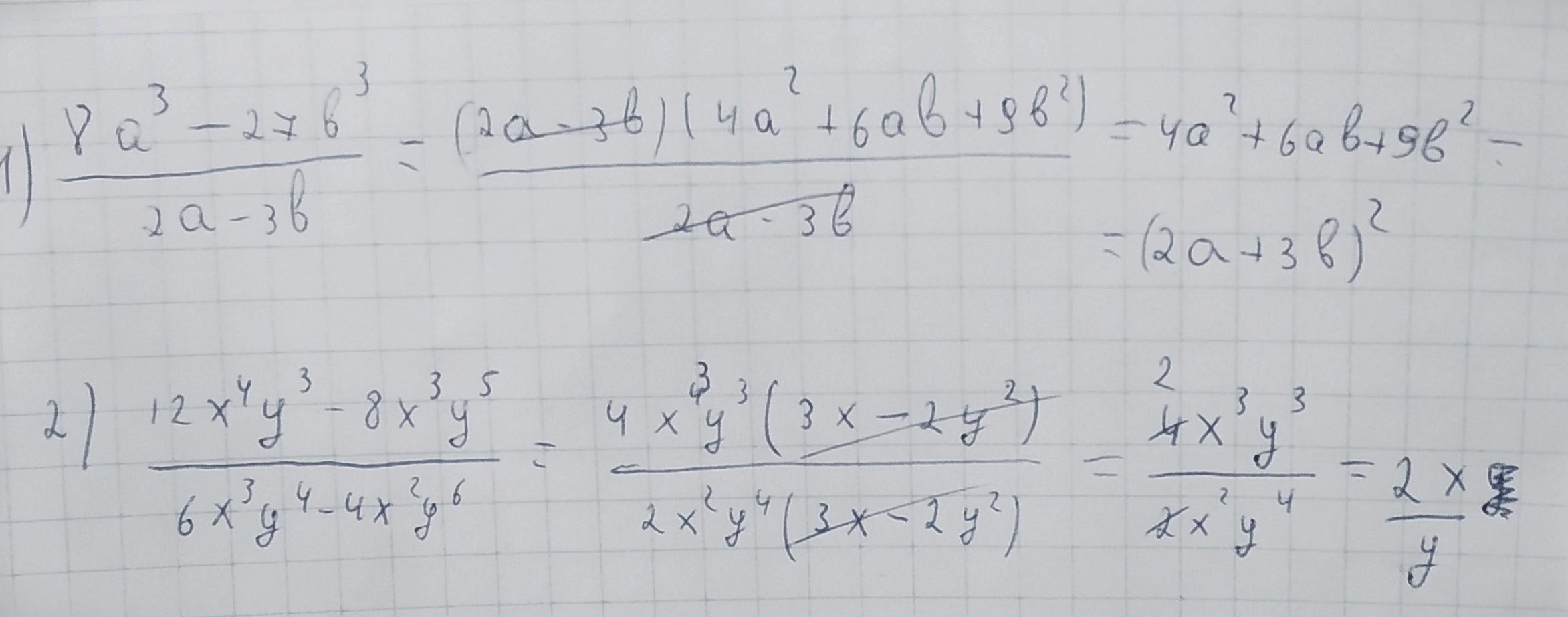
Помогите пожалуйста))Сократите дробь
8а³-27б³/2а-3б
12х⁴у³-8х³у⁵/6х³у⁴-4х²у⁶
Ответы
Автор ответа:
1
Решение на фото:) :) :) :) :)
Приложения:
Похожие вопросы
Предмет: Русский язык,
автор: nikalider
Предмет: Английский язык,
автор: arminepetrosya
Предмет: Другие предметы,
автор: Alistazza
Предмет: Алгебра,
автор: alina04ka