Предмет: Алгебра, автор: Аноним

срочно решите дам 20 балов

Приложения:

Ответы

Автор ответа: sangers1959
0

Объяснение:

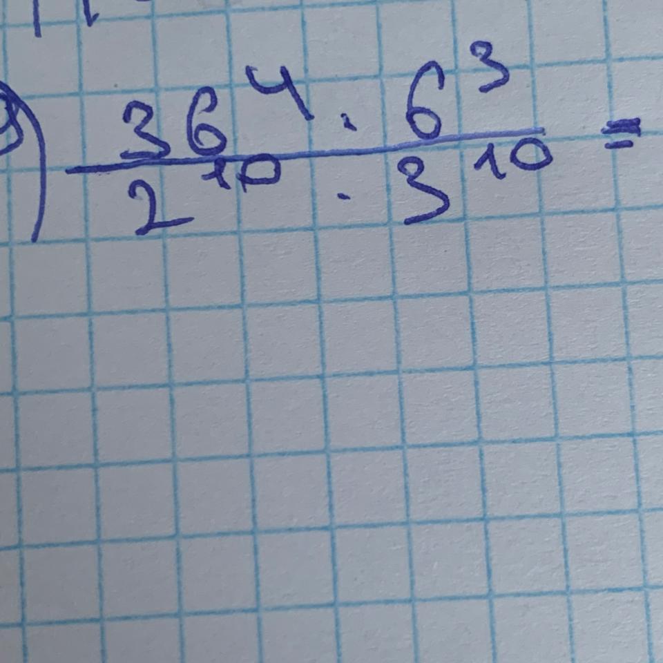
\frac{36^4*6^3}{2^{10}*3^{10}} =\frac{(6^2)^4*6^3}{(2*3)^{10}} =\frac{6^8*6^3}{6^{10}}=\frac{6^{11}}{6^{10}}=6^1=6.

Похожие вопросы
Предмет: Русский язык, автор: 89ловек