Предмет: Математика,
автор: Аноним
помогите пожалуйста пжпжпжпжпжпжп
Приложения:
drakula0:
ок
-1 ответ
Ответы
Автор ответа:
0
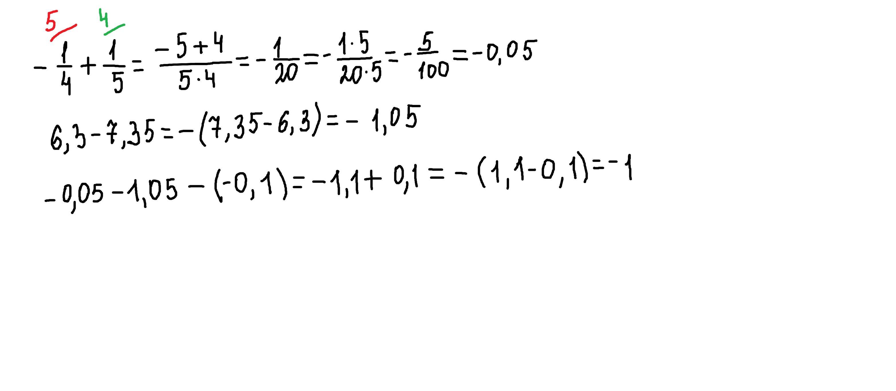
Ответ:
-1
Пошаговое объяснение:
решение по действиям внизу
Приложения:
Похожие вопросы
Предмет: Русский язык,
автор: стр135
Предмет: Русский язык,
автор: Гусейнага
Предмет: Русский язык,
автор: Аноним
Предмет: Математика,
автор: enikeeva12
Предмет: Информатика,
автор: denis452