Предмет: Алгебра,
автор: serebryanskaya215
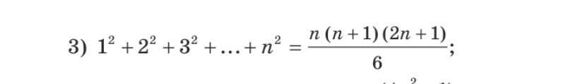
Помогите пожалуйста срочно нужно
Приложения:
Ответы
Автор ответа:
0
надеюсь помогла, если можно, то можно лучший ответ, пожалуйста ♡
Приложения:
Похожие вопросы
Предмет: Английский язык,
автор: Adel1677
Предмет: Окружающий мир,
автор: vzelencove
Предмет: Русский язык,
автор: математик88
Предмет: История,
автор: aken98981
Предмет: Английский язык,
автор: сованяяяяя