Предмет: Алгебра,
автор: ignatcenkoandrey
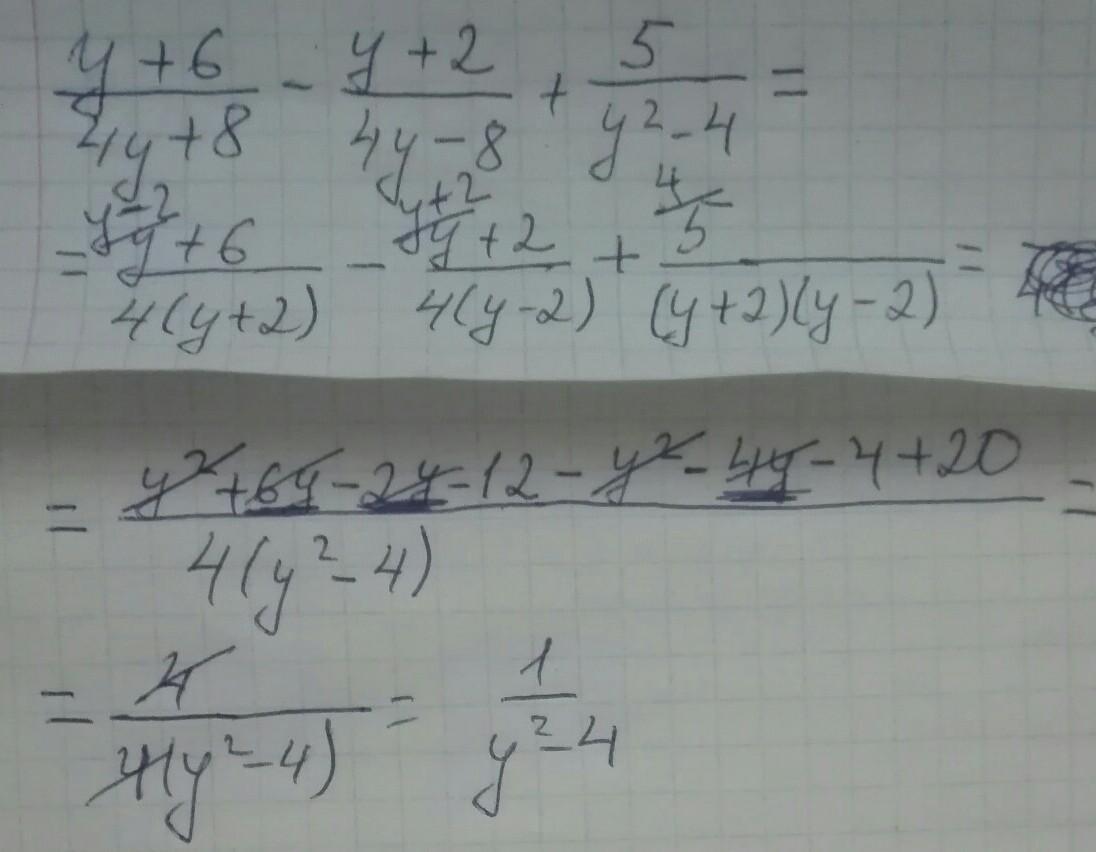
Тождественные преобразования
помогите срочно пожалуйста
Приложения:
Ответы
Автор ответа:
1
Ответ:
………………………………
………………
……………………
………………
Приложения:
Похожие вопросы
Предмет: Окружающий мир,
автор: pro354
Предмет: Окружающий мир,
автор: davkina
Предмет: Русский язык,
автор: fidashkavkusnyashka
Предмет: Химия,
автор: adbhj