Предмет: Математика,
автор: sagymbaevasabina
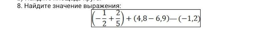
Найдите значение выражения:
& ПОЖАЛУЙСТА ЭТО СОЧ
Приложения:
Ответы
Автор ответа:
1
Держи. Удачки на уроке
Приложения:
sagymbaevasabina:
спасибо
Похожие вопросы
Предмет: Русский язык,
автор: маша1120
Предмет: Русский язык,
автор: Oxans11
Предмет: Окружающий мир,
автор: юля5101
Предмет: Физика,
автор: zegeng32
Предмет: Алгебра,
автор: Dj0Sergey