Предмет: География,
автор: venturia
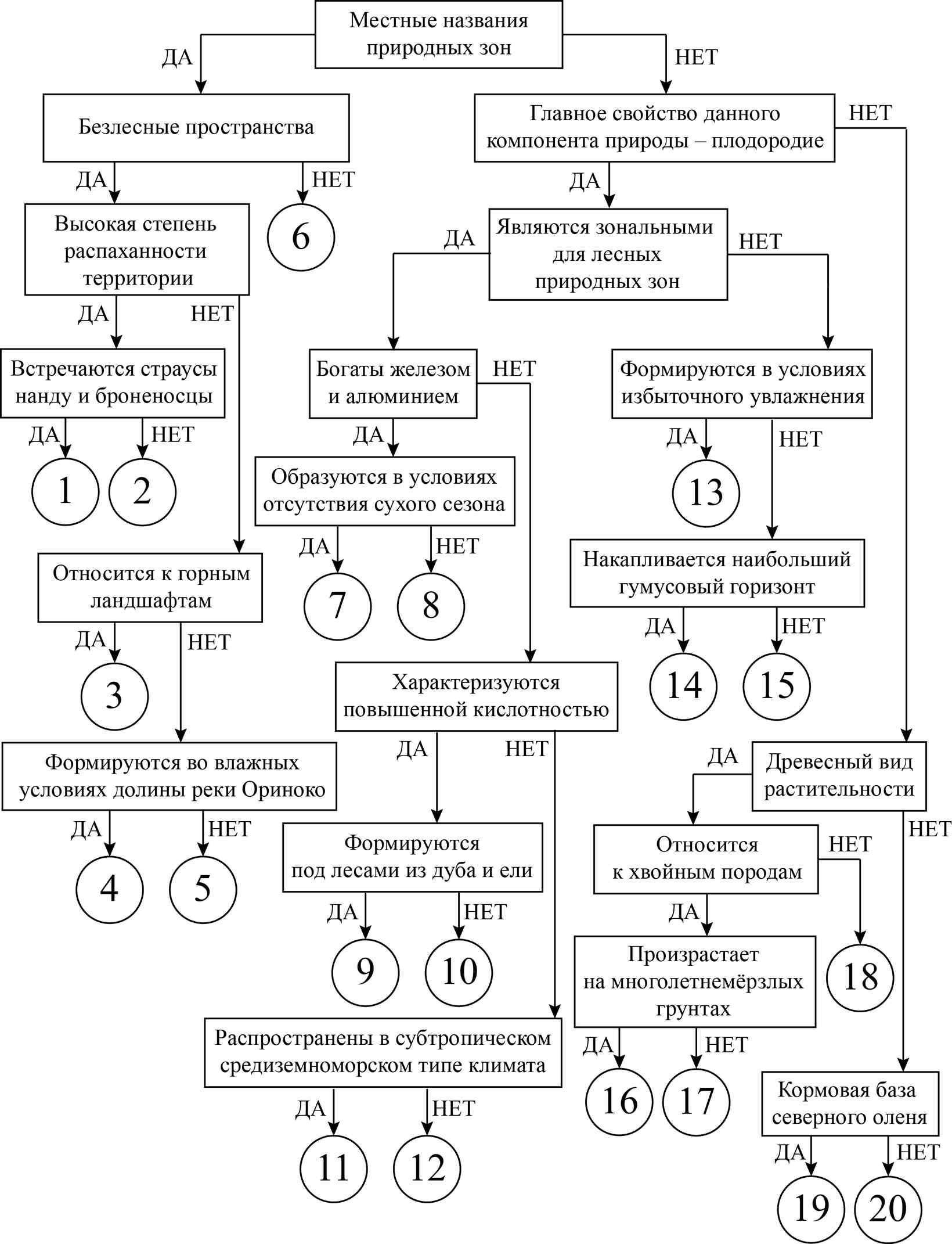
Следуя алгоритму, соотнесите термины и объекты, связанные с природными зонами Земли.
Под каждым термином или объектом запишите номер соответствующей позиции на схеме.
прерия
подзолистые
лавр
тундровые глеевые
гилея
ковыль
кампос
дерново-подзолистые
красно-жёлтые ферраллитные
лиственница
пампа
серые лесные
ягель
парамос
красные ферраллитные
чернозёмы
секвойя
бурые пустынные
коричневые
льянос
Приложения:
Ответы
Автор ответа:
8
Ответ:
1 - 9
2 - 5
3 - 2
4 - 1
5-4
6-11
7-16
8-7
9-6
10-15
11-3
12-12
13-8
14-13
15-17
16-20
17-10
18-18
19-19
20-14
Объяснение:
по таблице и по харастеристике
19mdfatima86:
Спасибки♡)
Похожие вопросы
Предмет: Русский язык,
автор: Dilyadi111
Предмет: Русский язык,
автор: avraval2009
Предмет: Русский язык,
автор: Stepanidka
Предмет: Математика,
автор: warok588
Предмет: Английский язык,
автор: barashkin113094