Предмет: Физика,
автор: Ritocka042000
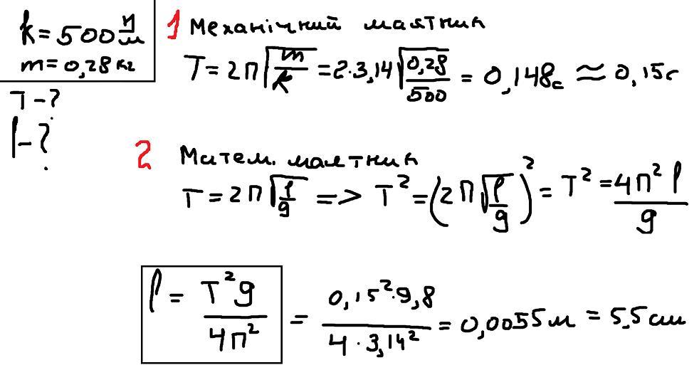
найти период колебаний маятника с R=500 н/м , m=280 г . Найти длину математического маятника с тем же периодом
Срочно
Ответы
Автор ответа:
0
Розв'язок задачі прикріплений нижче.
Приложения:
Похожие вопросы
Предмет: Беларуская мова,
автор: Аноним
Предмет: Русский язык,
автор: akhmadieva75
Предмет: Русский язык,
автор: marinakorotkov
Предмет: Математика,
автор: PygoFka
Предмет: Английский язык,
автор: darkavaddon